无码AV网站 大管徑超聲波測流誤差的影響因素-江蘇省霸展包装机械有限公司

 

 
  壓力(li)儀表(biao)系列(lie)
  流量(liang)儀表(biao)系列(lie)
  校驗(yan)儀表(biao)系列(lie)
  顯示(shi)儀表(biao)系列(lie)
  變送(song)器儀(yi)表系(xi)列
  電(dian)線電(dian)纜系(xi)列
 
  電(dian)磁流(liu)㊙️无码AV网站⁉️量計(ji)的工(gong)作原(yuan)理
  氧(yang)化锆(gao)氧傳(chuan)感器(qi)的原(yuan)理及(ji)應用(yong)
  有害(hai)氣體(ti)檢測(ce)報警(jing)儀選(xuan)用原(yuan)則
  我(wo)國計(ji)量用(yong)儀器(qi)儀表(biao)的發(fa)展和(he)現狀(zhuang)
  國内(nei)儀器(qi)儀表(biao)行業(ye)将發(fa)生高(gao)科....
  西(xi)安交(jiao)大研(yan)制出(chu)超高(gao)溫沖(chong)擊壓(ya)....
  采用(yong)半導(dao)體精(jing)密溫(wen)度傳(chuan)感......
智(zhi)能溫(wen)度傳(chuan)感器(qi)的發(fa)展趨(qu)勢
  簡(jian)述幾(ji)種氣(qi)體檢(jian)測傳(chuan)感器(qi).....
  利用(yong)傳感(gan)器技(ji)術制(zhi)造智(zhi)能服(fu)裝
  新(xin)型傳(chuan)感器(qi)監控(kong)魚群(qun)數量(liang)
   
 
聯系(xi)方式(shi)
  電話(hua)(市場(chang)部):  
      
     傳真(zhen):
  節假(jia)日商(shang)務聯(lian)系電(dian)話:
  何(he)經理(li):
  劉經(jing)理:
  郵(you)編:211600
 網(wang)址:/
    http://banyunshe.cc/
 E-mail:[email protected]
     [email protected]
 地(di)址:江(jiang)蘇省(sheng)金湖(hu)縣工(gong)業園(yuan)區環(huan)城西(xi)
 路269号(hao)

摘要(yao):流量(liang)測量(liang)是影(ying)響水(shui)輪機(ji)效率(lü)測試(shi)精度(du)最主(zhu)要的(de)因📧素(su)。大管(guan)徑流(liu)量測(ce)量的(de)方法(fa)主要(yao)采用(yong)超聲(sheng)波法(fa),然而(er),其測(ce)量精(jing)度及(ji)誤差(cha)構成(cheng)尚無(wu)有效(xiao)的校(xiao)驗方(fang)法。結(jie)合時(shi)差法(fa)超聲(sheng)波流(liu)量計(ji) 的測(ce)流原(yuan)理,推(tui)導得(de)到流(liu)量綜(zong)合誤(wu)差,建(jian)立測(ce)流誤(wu)💔差👉描(miao)㊙️述模(mo)型。提(ti)出一(yi)種基(ji)于流(liu)量測(ce)量理(li)想系(xi)統來(lai)⭐進行(hang)誤差(cha)分析(xi)的量(liang)化方(fang)法,爲(wei)超聲(sheng)波測(ce)流系(xi)統的(de)誤差(cha)分🌈析(xi)與控(kong)制提(ti)供一(yi)種新(xin)的途(tu)徑❌。通(tong)過測(ce)流.理(li)想系(xi)統對(dui)超聲(sheng)波測(ce)流精(jing)度的(de)影響(xiang)因素(su)👌進行(hang)仿真(zhen)❓研究(jiu),分析(xi)了㊙️各(ge)項參(can)數測(ce)量誤(wu)差對(dui)系㊙️統(tong)綜合(he)誤差(cha)🌈的影(ying)響,針(zhen)對影(ying)響較(jiao)大的(de)主導(dao)因素(su)提出(chu)了相(xiang)關修(xiu)正方(fang)法,并(bing)對系(xi)統綜(zong)合誤(wu)差的(de)控制(zhi)🤞進行(hang)了分(fen)析。最(zui)🧑🏾‍🤝‍🧑🏼後搭(da)建實(shi)驗系(xi)統進(jin)行研(yan)究,實(shi)驗結(jie)果🤟初(chu)步驗(yan)證了(le)該方(fang)法的(de)有效(xiao)性。
0引(yin)言
  水(shui)輪機(ji)效率(lü)是水(shui)電站(zhan)經濟(ji)運行(hang)的基(ji)礎數(shu)據。國(guo)際電(dian)工委(wei)員會(hui)推薦(jian)的熱(re)力學(xue)法“在(zai)國内(nei)魯布(bu)革電(dian)站進(jin)行過(guo)嘗.試(shi)四,其(qi)實施(shi)難度(du)較大(da)。影響(xiang)水輪(lun)機效(xiao)率測(ce)試精(jing)度的(de)主要(yao)因素(su)是流(liu)量測(ce)量,特(te)别是(shi)大管(guan)徑流(liu)量測(ce)量。目(mu)前,大(da)管徑(jing)流量(liang)測量(liang)的方(fang)法主(zhu)要是(shi)超✏️聲(sheng)波法(fa),測量(liang)原理(li)應用(yong)最多(duo)的是(shi)時差(cha)法時(shi)差法(fa)測流(liu)原理(li)簡學(xue)直觀(guan),但要(yao)提高(gao)測流(liu)精度(du)涉及(ji)因素(su)較複(fu)雜7-四(si),而且(qie)實驗(yan)所得(de)數據(ju)本身(shen)就存(cun)在誤(wu)差,測(ce)流誤(wu)差的(de)校驗(yan)尚無(wu)簡單(dan)有效(xiao)的方(fang)法,因(yin)此研(yan)究相(xiang)關因(yin)素的(de)影響(xiang)并有(you)針對(dui)✌️地進(jin)行🛀優(you)化和(he)控制(zhi)對提(ti)高測(ce)量精(jing)度十(shi)分必(bi)要。
  目(mu)前,對(dui)測流(liu)精度(du)影響(xiang)因素(su)已基(ji)本取(qu)得共(gong)識。超(chao)聲波(bo)測:流(liu)誤差(cha)的原(yuan)因主(zhu)要有(you)3個方(fang)面:1)斷(duan)面流(liu)速均(jun)勻計(ji)算造(zao)成⚽的(de)誤差(cha);2)超聲(sheng)波傳(chuan)感器(qi)安裝(zhuang)和測(ce)量精(jing)度造(zao)成的(de)誤差(cha)(聲音(yin)傳播(bo)信号(hao)是否(fou)能被(bei)傳感(gan)器正(zheng)确收(shou)到,聲(sheng)路長(zhang)度和(he)聲路(lu)角的(de)測量(liang)誤差(cha));3)環🔞境(jing)及介(jie)質🧑🏾‍🤝‍🧑🏼對(dui)超聲(sheng)波流(liu)量計(ji)時間(jian)計算(suan)造成(cheng)的誤(wu)差。目(mu)前的(de)研究(jiu)基本(ben).上都(dou)是圍(wei)繞這(zhe)3個方(fang)面🈲展(zhan)開的(de)。分析(xi)了影(ying)響測(ce)量精(jing)度的(de)因素(su),對溫(wen)度、流(liu)速和(he)管道(dao)内置(zhi)反射(she)片所(suo)造成(cheng)的測(ce)量誤(wu)差進(jin)行了(le)分析(xi),提出(chu)了具(ju)體的(de)誤差(cha)修正(zheng)補償(chang)方法(fa),但其(qi)反射(she)片安(an)裝在(zai)流體(ti)内部(bu),對流(liu)場可(ke)能有(you)影響(xiang)且不(bu)便測(ce)量操(cao)作;楊(yang)志勇(yong)等中(zhong)在推(tui)導流(liu)量計(ji)算公(gong)式的(de)基礎(chu)🔞上得(de)出影(ying)響測(ce)量結(jie)果♌的(de)主要(yao)因素(su),有針(zhen)對性(xing)的提(ti)出了(le)延長(zhang)聲波(bo)法、溫(wen)度補(bu)償法(fa)、流量(liang)修正(zheng)法、系(xi)統集(ji)成化(hua)設計(ji)🌈,但其(qi)重點(dian)在信(xin)号處(chu)理上(shang)且針(zhen)對小(xiao)管徑(jing)進行(hang)分析(xi);楊聲(sheng)将等(deng)對噪(zao)聲、髒(zang)污、壓(ya)力及(ji)溫度(du)測量(liang)對超(chao)聲波(bo)流量(liang)計計(ji)量系(xi)統性(xing)能的(de)主要(yao)影響(xiang)因素(su)以及(ji)控制(zhi)對策(ce)進行(hang)了分(fen)析探(tan)讨,但(dan)實驗(yan)現場(chang)仍不(bu)能滿(man)足相(xiang)關要(yao)求,造(zao)成儀(yi)器測(ce)量的(de)不正(zheng)确性(xing);耿存(cun)傑等(deng)以主(zhu)要介(jie)紹了(le)利📞用(yong)實驗(yan)室現(xian)有的(de)液體(ti)流量(liang)❄️标準(zhun)裝置(zhi),對超(chao)聲波(bo)流量(liang)計 在(zai)不同(tong)管道(dao)材質(zhi)、不同(tong)管徑(jing)的條(tiao)件下(xia)進行(hang)流量(liang)系數(shu)💯的修(xiu)㊙️正,但(dan)🏃‍♂️條件(jian)變化(hua)時需(xu)重新(xin)進行(hang)标定(ding),不便(bian)于使(shi)用。
  本(ben)文讨(tao)論了(le)造成(cheng)超聲(sheng)波流(liu)量計(ji)測流(liu)誤差(cha)的影(ying)響♉因(yin)素,推(tui)導⛷️得(de)💜到流(liu)量綜(zong)合誤(wu)差,提(ti)出一(yi)種基(ji)于流(liu)量測(ce)量理(li)想系(xi)統進(jin)行誤(wu)差分(fen)析的(de)量化(hua)方法(fa),分析(xi)了單(dan)個因(yin)素對(dui)流🌈量(liang)相對(dui)誤差(cha)的🙇🏻影(ying)響程(cheng)度,針(zhen)對主(zhu)導因(yin)素給(gei)出了(le)相應(ying)的㊙️修(xiu)正方(fang)法,最(zui)後對(dui)綜合(he)誤差(cha)的💰控(kong)制進(jin)行了(le)分析(xi),爲流(liu)量的(de)修正(zheng)提出(chu)了新(xin)思路(lu)。
1時差(cha)法超(chao)聲波(bo)流量(liang)計工(gong)作原(yuan)理
  超(chao)聲波(bo)流量(liang)計測(ce)量系(xi)統最(zui)常用(yong)的測(ce)流原(yuan)理是(shi)“時差(cha)法”。超(chao)聲波(bo)⭐換能(neng)器采(cai)用的(de)是管(guan)外“Z"型(xing)安裝(zhuang)方式(shi),測量(liang)原理(li)如圖(tu)1所🈲示(shi)。探頭(tou)1發射(she)信号(hao),信号(hao)穿過(guo)管壁(bi)1、流體(ti)、管璧(bi)2後被(bei)另一(yi)側的(de)👣探頭(tou)2接收(shou)到;在(zai)探頭(tou)1發射(she)信号(hao)的同(tong)時探(tan)頭2也(ye)發出(chu)同樣(yang)的信(xin)号,經(jing)過管(guan)壁2、流(liu)體🛀、管(guan)壁1後(hou)被探(tan)頭1接(jie)收到(dao);由于(yu)流體(ti)流速(su)的影(ying)響超(chao)聲✂️波(bo)在順(shun)流和(he)逆流(liu)情況(kuang)下的(de)傳輸(shu)時間(jian)t1和t2不(bu)同,因(yin)此根(gen)據時(shi)間差(cha)便可(ke)求得(de)流速(su),進而(er)得到(dao)流量(liang)值。
 
  如(ru)圖1所(suo)示,記(ji)管道(dao)内徑(jing)爲D.超(chao)聲波(bo)在水(shui)中聲(sheng)速爲(wei)c,超聲(sheng)波傳(chuan)播線(xian)路上(shang)的流(liu)體流(liu)速爲(wei)v,聲路(lu)角爲(wei)θ,超聲(sheng)波㊙️在(zai)換⛹🏻‍♀️能(neng)器和(he)管💰壁(bi)中的(de)總傳(chuan)播時(shi)間7τ0,則(ze)順流(liu)、逆流(liu)傳播(bo)時,超(chao)聲波(bo)傳輸(shu)時間(jian)爲:
 
  時(shi)差式(shi)超聲(sheng)波流(liu)量計(ji)測量(liang)通常(chang)采用(yong)的是(shi)超聲(sheng)波傳(chuan)播路(lu)徑✏️上(shang)流體(ti)的線(xian)平均(jun)流速(su),而實(shi)際管(guan)道橫(heng)截面(mian)上的(de)流速(su)分布(bu)是呈(cheng)抛💯物(wu)線形(xing)态的(de),這就(jiu)造成(cheng)了斷(duan)面流(liu)速計(ji)算造(zao)成的(de)誤差(cha),具體(ti)如圖(tu)2所示(shi)。
 
 由圖(tu)2可知(zhi),流體(ti)線平(ping)均流(liu)速0與(yu)截面(mian)平均(jun)流速(su)VD存在(zai)以下(xia)關系(xi):
 
  大管(guan)徑超(chao)聲波(bo)流量(liang)計的(de)現場(chang)校驗(yan)試驗(yan)比較(jiao)困難(nan),其流(liu)量測(ce)量本(ben)身就(jiu)存在(zai)一-定(ding)誤差(cha),采用(yong)試驗(yan)驗證(zheng)方法(fa)是沒(mei)有意(yi)義的(de)🚶‍♀️。本文(wen)提出(chu)一種(zhong)基于(yu)理想(xiang)系統(tong)的驗(yan)證方(fang)法,即(ji)按超(chao)聲波(bo)測流(liu)的布(bu)置📞形(xing)式.給(gei)出理(li)想條(tiao)件下(xia)的參(can)數值(zhi)㊙️,假設(she)存在(zai)參數(shu)測量(liang)🍉誤差(cha),按上(shang)述公(gong)式進(jin)行計(ji)算,得(de)到各(ge)項參(can)數對(dui)流🈲量(liang)測量(liang)誤差(cha)的影(ying)響程(cheng)度.進(jin)而分(fen)析得(de)到影(ying)💯響流(liu)量測(ce)量誤(wu)☎️差的(de)✨主導(dao)因素(su),再進(jin)行誤(wu)差修(xiu)🙇‍♀️正。
  設(she)置一(yi)個理(li)想系(xi)統:被(bei)測流(liu)體爲(wei)清水(shui),管道(dao)内徑(jing)爲D=3.00m,超(chao)聲波(bo)💛流💚量(liang)計安(an)裝角(jiao)爲θ=40°,水(shui)體溫(wen)度t=20℃,超(chao)聲波(bo)傳播(bo)速度(du)爲c=1485.00m/s,流(liu)體截(jie)面平(ping)均流(liu)速vD=4.00m/s.流(liu)量爲(wei)Q=28.26m3/s。理想(xiang)條件(jian)下時(shi)間測(ce)量儀(yi)器精(jing)度完(wan)全達(da)到要(yao)求時(shi)得到(dao)🛀🏻的時(shi)間差(cha)爲△t=1.30x10-5s。
2單(dan)因素(su)誤差(cha)分析(xi)
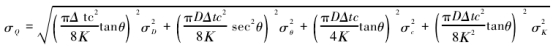
  由式(shi)(6)知流(liu)量與(yu)管道(dao)内經(jing)D、聲路(lu)角θ、超(chao)聲波(bo)在水(shui)中的(de)速度(du)c、及流(liu)量系(xi)數K有(you)關,因(yin)此流(liu)量測(ce)量中(zhong)重點(dian)考慮(lü)這4項(xiang)因素(su)。
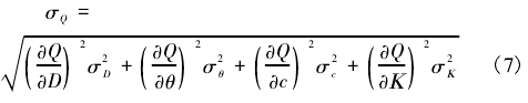
  根據(ju)間接(jie)測量(liang)的誤(wu)差理(li)論,對(dui)式(6)做(zuo)變換(huan)可得(de)流量(liang)的絕(jue)對誤(wu)差σQ,爲(wei):
 
  将式(shi)(6)代入(ru)式(7),可(ke)得:
 
  式(shi)中:σx表(biao)示變(bian)量{D,θ,c,K}的(de)絕對(dui)誤差(cha)。
  在超(chao)聲波(bo)流量(liang)計安(an)裝完(wan)成後(hou),取理(li)想條(tiao)件所(suo)對應(ying)💃🏻的各(ge)參數(shu)值爲(wei)基值(zhi)。将式(shi)(8)兩邊(bian)同時(shi)除以(yi)Q,化簡(jian)整理(li)後得(de)相對(dui)誤差(cha)爲:
 
  管(guan)徑測(ce)量精(jing)度一(yi)般能(neng)達到(dao)0.1%,按相(xiang)關倍(bei)數取(qu)值得(de)到不(bu)✍️同管(guan)🚩徑🛀誤(wu)差σ0D時(shi)的流(liu)量誤(wu)差如(ru)表1所(suo)示。
 
  由(you)式(10)可(ke)知,管(guan)徑的(de)相對(dui)誤差(cha)會造(zao)成1倍(bei)的流(liu)量相(xiang)對誤(wu)差,由(you)此可(ke)見理(li)論.上(shang)管徑(jing)誤差(cha)對流(liu)量誤(wu)差有(you)着較(jiao)大✉️的(de)影響(xiang)。在實(shi)際工(gong)程應(ying)用中(zhong),大管(guan)徑的(de)測量(liang)誤差(cha)較小(xiao),例如(ru),管徑(jing)爲3.0m,測(ce)量誤(wu)差爲(wei)±0.05%時,誤(wu)✉️差絕(jue)對值(zhi)爲±1.5mm,而(er)實際(ji)測量(liang)時,誤(wu)差絕(jue)對值(zhi)遠小(xiao)于±1.5mm。對(dui)照表(biao)1可知(zhi),管🐕徑(jing)測量(liang)誤差(cha)造成(cheng)的流(liu)量誤(wu)差能(neng)控制(zhi)😘在遠(yuan)小于(yu)±0.1%以🈲内(nei),并且(qie)鋼管(guan)結🐆垢(gou)現象(xiang)也不(bu)太🆚明(ming)顯,因(yin)此管(guan)道測(ce)量精(jing)度的(de)影響(xiang)可以(yi)先忽(hu)略。
2.2聲(sheng)路角(jiao)誤差(cha)
  由式(shi)(6)可知(zhi),當聲(sheng)路角(jiao)測量(liang)存在(zai)誤差(cha)σθ時,流(liu)量相(xiang)對誤(wu)差爲(wei):
 
  分别(bie)取不(bu)同聲(sheng)路角(jiao)θ和聲(sheng)路角(jiao)誤差(cha)σθ,得到(dao)的流(liu)量相(xiang)對誤(wu)差如(ru)表2所(suo)示。
 
  聲(sheng)路角(jiao)爲40°時(shi),0.5°的聲(sheng)路角(jiao)誤差(cha)造成(cheng)的流(liu)量相(xiang)對誤(wu)差能(neng)達💃🏻到(dao)1.78%左右(you)的,1°的(de)誤差(cha)造成(cheng)的流(liu)量誤(wu)差高(gao)達3.6%,随(sui)着聲(sheng)路🏃🏻角(jiao)誤差(cha)的增(zeng)大流(liu)量♌相(xiang)對誤(wu)差增(zeng)長也(ye)較爲(wei)明顯(xian)。同--聲(sheng)路角(jiao)誤差(cha)下θ=30°和(he)θ=60°時的(de)流量(liang)相對(dui)誤差(cha)相近(jin),與兩(liang)者相(xiang)比θ=40°時(shi)的誤(wu)差較(jiao)小,因(yin)此⛷️,初(chu)步推(tui)斷存(cun)在一(yi)個最(zui)佳聲(sheng)路角(jiao)使得(de)流量(liang)相對(dui)誤差(cha)最小(xiao)🔆。
2.3聲速(su)誤差(cha)
  聲速(su)會随(sui)溫度(du)變化(hua)而變(bian)化,根(gen)據威(wei)拉德(de)研究(jiu)給出(chu)的水(shui)聲速(su)與㊙️溫(wen)度關(guan)系式(shi)”得到(dao)标準(zhun)大氣(qi)壓下(xia)水中(zhong)聲速(su)與溫(wen)度的(de)💚關系(xi)式可(ke)❌寫爲(wei):
 
  在20℃時(shi)超聲(sheng)波傳(chuan)播速(su)度爲(wei)c=1485m/s.當水(shui)溫發(fa)生變(bian)化,t=0℃時(shi),c=1422.838m/s,t=40℃時,c=1528.678m/s,對(dui)應的(de)流💞量(liang)相🙇🏻對(dui)誤差(cha)分别(bie)爲8.266%、5.889%。
  如(ru)若忽(hu)略溫(wen)度的(de)變化(hua),由上(shang)兩式(shi)知20C的(de)變化(hua)量下(xia)流🚶量(liang)相對(dui)誤差(cha)平均(jun)能達(da)到7%左(zuo)右。并(bing)且根(gen)據該(gai)方式(shi)計🈲算(suan)得到(dao)在0~40℃範(fan)圍内(nei)超聲(sheng)波傳(chuan)播速(su)度差(cha)值可(ke)達105.84m/s,對(dui)應流(liu)量測(ce)💘量誤(wu)差❗爲(wei)14.155%。因此(ci)根據(ju)相🐕關(guan)關系(xi)式來(lai)進行(hang)聲速(su)調控(kong)很💃🏻有(you)必要(yao)。
  在該(gai)理想(xiang)系統(tong)“下,取(qu)不同(tong)聲速(su)誤差(cha),代入(ru)式(13)可(ke)得流(liu)量相(xiang)對誤(wu)差如(ru)表3所(suo)示。
  由(you)表3可(ke)知.1%的(de)聲速(su)誤差(cha)會造(zao)成2%的(de)流量(liang)誤差(cha),但同(tong)一🐕時(shi)段的(de)溫度(du)變化(hua)并不(bu)明顯(xian),其誤(wu)差很(hen)小可(ke)以控(kong)制在(zai)0.01%範圍(wei)内,其(qi)波動(dong)可👨‍❤️‍👨以(yi)通💛過(guo)與敏(min)感的(de)溫度(du)傳感(gan)器相(xiang)結合(he)的方(fang)法将(jiang)溫度(du)變化(hua)引起(qi)的聲(sheng)速改(gai)變及(ji)時🧡傳(chuan)遞給(gei)流量(liang)計,以(yi)此來(lai)減小(xiao)誤❤️差(cha)。
 
2.4流量(liang)系數(shu)K造成(cheng)的誤(wu)差
  流(liu)場流(liu)态對(dui)流量(liang)測量(liang)有一(yi)定的(de)影響(xiang),其影(ying)響主(zhu)要是(shi)通過(guo)其流(liu)速系(xi)數K來(lai)體現(xian)。
  管道(dao)内的(de)流體(ti)實際(ji)流速(su)分布(bu)規律(lü)爲:
 
  由(you)上述(shu)分析(xi)知,修(xiu)正系(xi)數K與(yu)雷諾(nuo)數Re的(de)大小(xiao)有着(zhe)直接(jie)關系(xi),并且(qie)其變(bian)化範(fan)圍較(jiao)廣取(qu)值很(hen)難确(que)定,因(yin)此根(gen)據外(wai)界🈲因(yin)素不(bu)同💛得(de)出兩(liang)者關(guan)系對(dui)流量(liang)的正(zheng)确測(ce)量有(you)很重(zhong)要的(de)影響(xiang)。
  綜上(shang)所述(shu),對流(liu)量測(ce)量影(ying)響較(jiao)大的(de)因素(su)爲聲(sheng)路角(jiao)θ和修(xiu)正系(xi)數🔴K。
3主(zhu)導因(yin)素修(xiu)正
3.1聲(sheng)路角(jiao)誤差(cha)修正(zheng)
  由于(yu)直接(jie)測量(liang)角度(du)較爲(wei)困難(nan),且其(qi)測量(liang)儀器(qi)精度(du)🏃‍♀️不能(neng)達到(dao)💜要求(qiu),因此(ci)考慮(lü)在測(ce)量方(fang)式上(shang)進行(hang)優化(hua),提出(chu)一種(zhong)依據(ju)長度(du)安裝(zhuang)要求(qiu)達到(dao)控制(zhi)聲路(lu)角的(de)方法(fa)。
 
  圖4所(suo)示爲(wei)流量(liang)相對(dui)誤差(cha)與聲(sheng)路角(jiao)的關(guan)系。由(you)圖4可(ke)知,在(zai)聲🍓路(lu)❤️角測(ce)量誤(wu)差較(jiao)小時(shi),流量(liang)測量(liang)相對(dui)誤差(cha)随聲(sheng)路角(jiao)✏️(安裝(zhuang)🔞角)大(da)小的(de)㊙️變化(hua)不明(ming)顯,如(ru)圖中(zhong)紅線(xian)🐇(σθ=0.1%)所示(shi)。反之(zhi),若聲(sheng)路角(jiao)測量(liang)誤差(cha)較大(da),則流(liu)量相(xiang)對誤(wu)差随(sui)聲路(lu)角的(de)變化(hua)呈抛(pao)物線(xian)變化(hua),如圖(tu)中綠(lü)線(σθ=1°)所(suo)❗示,且(qie)存在(zai)一個(ge)最小(xiao)值。聲(sheng)路角(jiao)不變(bian)時,流(liu)量相(xiang)對誤(wu)差會(hui)随着(zhe)絕對(dui)誤差(cha)的增(zeng)大而(er)增大(da)。
 
  令შσ/შθ=0,有(you)θ=45°時,流(liu)量的(de)相對(dui)誤差(cha)σ0Q取最(zui)小。
3.2K值(zhi)的修(xiu)正
  K系(xi)數與(yu)流體(ti)型态(tai)有關(guan)且随(sui)雷諾(nuo)數變(bian)化而(er)變化(hua),研究(jiu)不同(tong)型态(tai)下的(de)K系數(shu)随雷(lei)諾數(shu)變化(hua)規律(lü)有利(li)于流(liu)量補(bu)償計(ji)算‼️和(he)提高(gao)測量(liang)精度(du)。
  由式(shi)(24)可知(zhi),層流(liu)時的(de)修正(zheng)系數(shu)K=4/3,但對(dui)大管(guan)徑來(lai)說,場(chang)内流(liu)态一(yi)般是(shi)紊流(liu)情況(kuang)。因此(ci),本文(wen)重點(dian)分析(xi)紊流(liu)👄時的(de)流量(liang)系數(shu)K的修(xiu)正。
  紊(wen)流時(shi)修正(zheng)系數(shu)與雷(lei)諾數(shu)有關(guan),經驗(yan)公式(shi)爲:
K=1.119-0.011xlgRe(25)
  依(yi)據式(shi)(25)可知(zhi).流量(liang)系數(shu)與雷(lei)諾數(shu)呈線(xian)性關(guan)系,雷(lei)諾數(shu)變化(hua)直💋接(jie)💃🏻影響(xiang)流量(liang)系數(shu)的取(qu)值。本(ben)文考(kao)慮根(gen)據雷(lei)諾數(shu)相關(guan)的變(bian)量來(lai)對K值(zhi)進行(hang)修正(zheng)。雷諾(nuo)數計(ji)算公(gong)式爲(wei):
 
  式中(zhong):V爲平(ping)均流(liu)速;D爲(wei)管道(dao)内經(jing);Ƴ爲流(liu)體運(yun)動粘(zhan)度。
  由(you)式(26)可(ke)知,雷(lei)諾數(shu)大小(xiao)與3個(ge)變量(liang)有關(guan)。當管(guan)徑一(yi)定時(shi)😄,雷諾(nuo)數會(hui)随着(zhe)平均(jun)流速(su)和流(liu)體粘(zhan)度變(bian)化而(er)變化(hua)。水的(de)粘度(du)随溫(wen)度的(de)變🍉化(hua)而變(bian)化,溫(wen)度變(bian)化會(hui)影💞響(xiang)到雷(lei)諾數(shu),進而(er)影響(xiang)流量(liang)修正(zheng)系數(shu)K的值(zhi)。因此(ci)找出(chu)粘度(du)随📱溫(wen)度的(de)變化(hua)關系(xi)對K的(de)正确(que)性有(you)着一(yi)定❗的(de)影響(xiang)。
  流體(ti)粘度(du)受流(liu)體溫(wen)度的(de)影響(xiang)具有(you)非線(xian)性特(te)點,通(tong)🔴過拟(ni)合溫(wen)度與(yu)運動(dong)粘度(du)值,得(de)到不(bu)同溫(wen)度下(xia)水的(de)運動(dong)粘度(du)的曲(qu)線,如(ru)圖5所(suo)示。
  多(duo)項式(shi)拟合(he)表達(da)式爲(wei):
 
 
  随着(zhe)溫度(du)的升(sheng)高,水(shui)的粘(zhan)度非(fei)線性(xing)特征(zheng)愈發(fa)明顯(xian)。在0~50℃範(fan)圍内(nei)水♌的(de)粘度(du)值差(cha)值可(ke)達到(dao)1.2x10-6m2/s,對應(ying)的雷(lei)諾數(shu)🌈誤差(cha)爲66.67%,不(bu)容忽(hu)視。
  将(jiang)得到(dao)的拟(ni)合曲(qu)線依(yi)次代(dai)入式(shi)(19)、(20)得:
 
  由(you)圖6可(ke)以看(kan)出,同(tong)一管(guan)徑條(tiao)件下(xia),流量(liang)系數(shu)随平(ping)均流(liu)速🌐和(he)溫度(du)的增(zeng)加都(dou)呈非(fei)線性(xing)減小(xiao)趨勢(shi)。其他(ta)條件(jian)一定(ding)時🏃🏻‍♂️,随(sui)着管(guan)徑D的(de)增☂️大(da)流量(liang)系數(shu)K值會(hui)減小(xiao)。
  此修(xiu)正方(fang)法将(jiang)溫度(du)和流(liu)速變(bian)化與(yu)K值聯(lian)系起(qi)來,兩(liang)者任(ren)一值(zhi)發生(sheng)變化(hua)都能(neng)找到(dao)相對(dui)應的(de)修正(zheng)系數(shu)值,爲(wei)準.确(que)測得(de)流量(liang)提供(gong)了一(yi)定的(de)理論(lun)基礎(chu)。
4系統(tong)誤差(cha)控制(zhi)
  根據(ju)式(9)知(zhi)流量(liang)相對(dui)誤差(cha)由内(nei)徑D、聲(sheng)路角(jiao)0、聲速(su)c及流(liu)量系(xi)數K值(zhi)組成(cheng),因此(ci)系統(tong)的誤(wu)差控(kong)制需(xu)要對(dui)這4個(ge)🔞因素(su)進行(hang)綜合(he)考慮(lü)。
  若原(yuan)設理(li)想系(xi)統中(zhong)的流(liu)量測(ce)量誤(wu)差精(jing)度要(yao)控制(zhi)在±0.5%以(yi)😍内,即(ji)σoQ<0.5%。由綜(zong)合誤(wu)差式(shi)(9)知,各(ge)因素(su)至少(shao)要滿(man)足σ0x<0.5%。
1)内(nei)徑誤(wu)差
  目(mu)前的(de)一-些(xie)管徑(jing)測量(liang)儀器(qi)已經(jing)能達(da)到較(jiao)高的(de)精度(du),像激(ji)🌈光掃(sao)描測(ce)徑儀(yi)精度(du)最高(gao)可達(da)0.5μm,其誤(wu)差可(ke)控制(zhi)在0.005%以(yi)内甚(shen)至更(geng)小,完(wan)全滿(man)足單(dan)因素(su)精度(du)要求(qiu)。由于(yu)管徑(jing)📞在制(zhi)造過(guo)程中(zhong)♻️可能(neng)存在(zai)一定(ding)的誤(wu)差,因(yin)此在(zai)對管(guan)徑進(jin)行測(ce)量時(shi)可在(zai)安裝(zhuang)位置(zhi)處采(cai)用多(duo)處多(duo)次測(ce)量求(qiu)平均(jun)值的(de)方法(fa)來盡(jin)可能(neng)減小(xiao)此部(bu)分誤(wu)差。
2)聲(sheng)路角(jiao)誤差(cha)
  聲路(lu)角測(ce)量較(jiao)難進(jin)行,将(jiang)角度(du)測量(liang)轉化(hua)成距(ju)離測(ce)量後(hou)🍉,在安(an)裝時(shi)按照(zhao)需要(yao)角度(du)進行(hang)計算(suan)後再(zai)安裝(zhuang)便能(neng)減小(xiao)其誤(wu)差,其(qi)誤差(cha)可以(yi)控制(zhi)在0.05%以(yi)内,也(ye)滿足(zu)單因(yin)素⚽的(de)誤差(cha)要求(qiu)。.
3)聲速(su)誤差(cha)
  同一(yi)時段(duan)内的(de)溫度(du)變化(hua)很小(xiao),因此(ci)其造(zao)成的(de)聲速(su)變化(hua)不明(ming)顯,根(gen)據.上(shang)述聲(sheng)速溫(wen)度修(xiu)正公(gong)式進(jin)行修(xiu)正後(hou),其誤(wu)差便(bian)可控(kong)制在(zai)0.1%以内(nei),滿足(zu)單因(yin)素的(de)精度(du)要求(qiu)。
  由于(yu)管徑(jing)測量(liang)精度(du)很高(gao),在此(ci)忽略(lue)此項(xiang)誤差(cha)。将θ=45°,σ0θ=0.05%,σ0C=0.1%代(dai)入式(shi)(9)得:
 
  由(you)上式(shi)得至(zhi)少要(yao)滿足(zu)σ0K<0.45%系統(tong)才能(neng)達到(dao)要求(qiu)。若想(xiang)進一(yi)步減(jian)✌️小綜(zong)合誤(wu)差,則(ze)需優(you)化各(ge)因素(su)測量(liang)儀器(qi),使🌂其(qi)誤差(cha)控制(zhi)在💰更(geng)小範(fan)圍内(nei)。
  根據(ju)上述(shu)分析(xi),超聲(sheng)波測(ce)流精(jing)度控(kong)制中(zhong),最困(kun)難的(de)因素(su)就是(shi)管‼️道(dao)流速(su)形态(tai)的處(chu)理,即(ji)本文(wen)中提(ti)到的(de)系數(shu)K。如何(he)進--步(bu)提高(gao)管道(dao)流速(su)分布(bu)對測(ce)量的(de)影響(xiang)及得(de)到其(qi)修正(zheng)方法(fa),尚需(xu)開展(zhan)進一(yi)步研(yan)究。
5實(shi)驗系(xi)統搭(da)建
  對(dui)于大(da)管徑(jing)超聲(sheng)波流(liu)量計(ji)測流(liu)的驗(yan)證性(xing)實驗(yan)是比(bi)較困(kun)難的(de)。利用(yong)水機(ji)電耦(ou)合真(zhen)機實(shi)驗室(shi),在引(yin)水管(guan)直管(guan)段上(shang)搭建(jian)實驗(yan)平台(tai)來進(jin)行了(le)相關(guan)實驗(yan),對🍓本(ben)文提(ti)出的(de)影響(xiang)測量(liang)✨精度(du)幾方(fang)面的(de)因素(su)進行(hang)了試(shi)驗分(fen)析。
  試(shi)驗條(tiao)件:安(an)裝點(dian)選取(qu)位置(zhi)前後(hou)直管(guan)段距(ju)離均(jun)滿足(zu)安裝(zhuang)要求(qiu)⛹🏻‍♀️,直管(guan)段外(wai)徑D=616mm,管(guan)壁厚(hou)度δ=8mm.實(shi)驗環(huan)境溫(wen)度15℃,流(liu)量測(ce)量儀(yi)器采(cai)用的(de)是康(kang)創TY1010PW單(dan)聲道(dao)便攜(xie)式超(chao)聲波(bo)流量(liang)計,其(qi)精度(du)爲1%。實(shi)💋驗裝(zhuang)備如(ru)圖7所(suo)☁️示。
 
  通(tong)過效(xiao)率試(shi)驗測(ce)得相(xiang)關數(shu)據,在(zai)實驗(yan)中改(gai)變出(chu)力P來(lai)測流(liu)量Q,并(bing)🐇根據(ju)上述(shu)分析(xi)得到(dao)了流(liu)量系(xi)數K值(zhi),數據(ju)如表(biao)5所示(shi),水輪(lun)機功(gong)率與(yu)流量(liang)的關(guan)系如(ru)圖8所(suo)示。
 
  由(you)圖8可(ke)以看(kan)出,水(shui)輪機(ji)功率(lü)與流(liu)量的(de)關系(xi)與廠(chang)家給(gei)出的(de)流量(liang)特性(xing)是一(yi)緻的(de)。本實(shi)驗各(ge)項誤(wu)差控(kong)爲🌈σD=0.005%,σθ=0.05%,σc=0.1%。從(cong)綜🐇合(he)誤差(cha)分析(xi)來看(kan),當流(liu)量系(xi)數K值(zhi)滿足(zu)σoK<0.45%時系(xi)統誤(wu)差便(bian)可控(kong)制在(zai)0.5%以内(nei)💜。
  由表(biao)5可以(yi)看出(chu)。流量(liang)變化(hua)從0.176~0.5m/s時(shi),流量(liang)系數(shu)K值從(cong)1.0585~1.0535,變化(hua)⁉️範圍(wei)較小(xiao)。取功(gong)率P=55kW時(shi).測得(de)的流(liu)量Q=0.5m3/s,考(kao)慮其(qi)精度(du)1%,則實(shi)際流(liu)量範(fan)圍爲(wei)0.495~0.505m3/s,從表(biao)🈲可以(yi)看出(chu),流量(liang)系數(shu)K值的(de)變化(hua)波動(dong)值♍約(yue)爲0.0005,精(jing)度可(ke)達到(dao)0.05%,其誤(wu)差範(fan)圍完(wan)全滿(man)足綜(zong)合誤(wu)差控(kong)制要(yao)求,因(yin)此,初(chu)步推(tui)斷該(gai)方法(fa)有效(xiao)。
6結論(lun)
  本文(wen)提出(chu)了一(yi)種基(ji)于理(li)想測(ce)流系(xi)統的(de)超聲(sheng)波流(liu)☂️量✍️計(ji)誤差(cha)分析(xi)方法(fa),讨論(lun)了造(zao)成超(chao)聲波(bo)流量(liang)計測(ce)流誤(wu)差的(de)🤞原因(yin)、誤差(cha)産生(sheng)影響(xiang)因素(su)。通過(guo)量化(hua)方法(fa)對各(ge)影響(xiang)因素(su)進行(hang)讨論(lun),針對(dui)主導(dao)因素(su)給出(chu)了相(xiang)關的(de)誤差(cha)修正(zheng)方法(fa),對綜(zong)合誤(wu)差控(kong)制進(jin)行分(fen)析并(bing)開展(zhan)了試(shi)驗進(jin)行驗(yan)證。從(cong)實驗(yan)結果(guo)可初(chu)步推(tui)斷該(gai)方法(fa)是有(you)效的(de)。基于(yu)理想(xiang)測流(liu)系統(tong)分析(xi)方法(fa)弄清(qing)了各(ge)參數(shu)的影(ying)響程(cheng)度,對(dui)于現(xian)場安(an)裝和(he)進行(hang)實測(ce)試驗(yan)都有(you)一定(ding)的指(zhi)導作(zuo)用,爲(wei)後期(qi)超聲(sheng)波流(liu)量計(ji)的誤(wu)差修(xiu)✔️正提(ti)供了(le)新思(si)路。該(gai)方法(fa)在優(you)化水(shui)輪機(ji)效率(lü)計算(suan)精度(du)的同(tong)時也(ye)😍爲超(chao)聲波(bo)流量(liang)🧑🏾‍🤝‍🧑🏼計的(de)設計(ji)提供(gong)了參(can)考。

本(ben)文來(lai)源于(yu)網絡(luo),如有(you)侵權(quan)聯系(xi)即删(shan)除!


下(xia)篇文(wen)章: 渦(wo)街流(liu)量計(ji)在油(you)田注(zhu)水系(xi)統中(zhong)數據(ju)分析(xi) 上篇(pian)文章(zhang): 濕氣(qi)兩相(xiang)流量(liang)計在(zai)渝西(xi)頁岩(yan)氣田(tian)的應(ying)用
 
江(jiang)蘇省(sheng)霸展包装机械有限公司是一(yi)家專(zhuan)業提(ti)供 渦(wo)街流(liu)量計(ji) 渦輪(lun)流量(liang)計 電(dian)磁流(liu)量計(ji) 的企(qi)業,公(gong)司将(jiang)以優(you)質的(de)服務(wu)優惠(hui)的價(jia)格,服(fu)務新(xin)老客(ke)戶。
      技術(shu)支持(chi)易品(pin)網絡(luo)

·
·
 
·
·