|
聯系(xi)方式(shi)
|
|
電話(hua)(市場(chang)部):
|
|
|
|
|
|
(拓(tuo)展部(bu)):
|
|
傳真(zhen):
|
節假(jia)日商(shang)務聯(lian)系電(dian)話:
何(he)經理(li):
劉經(jing)理:
|
|
郵(you)編:211600
|
|
網(wang)址:/
|
|
http://banyunshe.cc/
|
|
E-mail:[email protected]
|
|
[email protected]
|
地(di)址:江(jiang)蘇省(sheng)金湖(hu)縣工(gong)業園(yuan)區環(huan)城西(xi)
路269号(hao)
|
|
|
|
您現(xian)在的(de)位置(zhi) > 首頁(ye)
> 行業(ye)新聞(wen)
> 液體(ti)流量(liang)計在(zai)線校(xiao)準方(fang)法分(fen)析
|
|
|
|
|
|
液(ye)體流(liu)量計(ji)在線(xian)校準(zhun)方法(fa)分析(xi)
發布(bu)時間(jian):2020-5-7 08:22:37
|
摘要(yao):摘要(yao):一般(ban)來說(shuo),在工(gong)業現(xian)場中(zhong)對流(liu)體流(liu)量進(jin)行測(ce)量的(de)儀器(qi)都被(bei)稱爲(wei)
流量(liang)計
或(huo)者流(liu)量表(biao)。在工(gong)業測(ce)量過(guo)程中(zhong),流量(liang)計是(shi)一種(zhong)十✍️分(fen)重要(yao)的儀(yi)表。近(jin)幾年(nian)工業(ye)行業(ye)的不(bu)斷發(fa)展,對(dui)流量(liang)的測(ce)量精(jing)度以(yi)及📧流(liu)量測(ce)量的(de)範圍(wei)提出(chu)了更(geng)高的(de)要求(qiu)。爲了(le)滿足(zu)不同(tong)用途(tu)的流(liu)量測(ce)量,相(xiang)關人(ren)員積(ji)極研(yan)發出(chu)了各(ge)種不(bu)同類(lei)型的(de)流量(liang)計,并(bing)廣泛(fan)地♻️應(ying)用于(yu)各種(zhong)不同(tong)的行(hang)業中(zhong)。針對(dui)液體(ti)流量(liang)計
在(zai)線校(xiao)準方(fang)法展(zhan)開了(le)簡要(yao)的分(fen)析。
0引(yin)言
在(zai)工業(ye)生産(chan)中,計(ji)量是(shi)一項(xiang)重要(yao)的工(gong)作環(huan)節。在(zai)計量(liang)科學(xue)技術(shu)中,流(liu)量計(ji)量有(you)着重(zhong)要的(de)影響(xiang),并且(qie)與國(guo)防建(jian)設、國(guo)民經(jing)濟以(yi)及科(ke)學研(yan)究之(zhi)間都(dou)有着(zhe)十分(fen)密切(qie)的聯(lian)系。做(zuo)好流(liu)量工(gong)作,對(dui)于産(chan)品質(zhi)量的(de)保證(zheng)以及(ji)生産(chan)效率(lü)的提(ti)升都(dou)有一(yi)定的(de)促進(jin)意義(yi)。
1液體(ti)流量(liang)計在(zai)線校(xiao)準方(fang)法
液(ye)體流(liu)量計(ji)可以(yi)分爲(wei)超聲(sheng)波式(shi)、電磁(ci)式、渦(wo)輪式(shi)、渦🌈街(jie)式🐕、浮(fu)子式(shi)、質量(liang)式以(yi)及容(rong)積式(shi),不同(tong)種類(lei)的流(liu)量🧡計(ji)在😘不(bu)同的(de)領域(yu)中都(dou)有着(zhe)廣泛(fan)應用(yong)。在現(xian)場在(zai)線❤️校(xiao)準的(de)😄過程(cheng)中,大(da)多并(bing)📐無相(xiang)應的(de)在線(xian)校準(zhun)技術(shu)規範(fan),而校(xiao)準行(hang)爲通(tong)常是(shi)參照(zhao)流量(liang)所對(dui)應的(de)檢定(ding)規程(cheng)開展(zhan)。
1.1标準(zhun)容積(ji)法
首(shou)先,工(gong)作人(ren)員将(jiang)流量(liang)進行(hang)調節(jie),并将(jiang)其控(kong)制在(zai)需🏃🏻要(yao)進⛱️行(hang)校‼️準(zhun)的流(liu)量點(dian)。其次(ci),将流(liu)量計(ji)的截(jie)止閥(fa)關閉(bi),在下(xia)遊❤️預(yu)留口(kou)處或(huo)者🐆下(xia)遊出(chu)口處(chu),通過(guo)利用(yong)軟管(guan)或者(zhe)活接(jie)頭的(de)方式(shi)将液(ye)體流(liu)量計(ji)與标(biao)準金(jin)屬🐉量(liang)器的(de)注液(ye)口進(jin)行連(lian)接,繼(ji)而将(jiang)截止(zhi)閥打(da)開,使(shi)标準(zhun)金屬(shu)量器(qi)中充(chong)滿标(biao)準液(ye)體,然(ran)後将(jiang)截止(zhi)閥關(guan)閉。最(zui)後,工(gong)作人(ren)員通(tong)過對(dui)标準(zhun)金屬(shu)量器(qi)的示(shi)值與(yu)被🐅校(xiao)表的(de)累計(ji)流量(liang)進行(hang)對比(bi),從而(er)确定(ding)出示(shi)值的(de)誤👅差(cha)值。
标(biao)準容(rong)積法(fa)測量(liang)的優(you)點包(bao)括:(1)在(zai)标準(zhun)容積(ji)法中(zhong)應🔅用(yong)的是(shi)标準(zhun)金屬(shu)量器(qi),容量(liang)大緻(zhi)爲1~5000L,所(suo)具有(you)的測(ce)量精(jing)度✏️相(xiang)對較(jiao)高。(2)标(biao)準♋容(rong)積法(fa)的測(ce)量與(yu)标準(zhun)表法(fa)有一(yi)定的(de)不同(tong),标準(zhun)容積(ji)法不(bu)必事(shi)先對(dui)✨被測(ce)管道(dao)的材(cai)質、周(zhou)長、壁(bi)厚等(deng)參數(shu)進行(hang)了解(jie),降低(di)了🤞測(ce)量結(jie)果受(shou)到外(wai)部因(yin)🔱素影(ying)響的(de)程度(du)。
标準(zhun)容積(ji)法測(ce)量的(de)缺點(dian)包括(kuo):(1)使用(yong)該方(fang)法時(shi),必須(xu)要在(zai)校準(zhun)現💯場(chang)有預(yu)留口(kou),以确(que)保标(biao)準金(jin)屬量(liang)器能(neng)夠與(yu)計量(liang)計進(jin)行連(lian)接,但(dan)是絕(jue)大部(bu)分的(de)校準(zhun)現場(chang)🐅都無(wu)法㊙️滿(man)足這(zhe)一條(tiao)件🤟.(2)由(you)于受(shou)到标(biao)準金(jin)屬量(liang)器大(da)小的(de)限制(zhi).,被校(xiao)的液(ye)體流(liu)量計(ji)口徑(jing)有一(yi)😄定的(de)限制(zhi)🐇,-般來(lai)說,隻(zhi)有對(dui)于口(kou)徑小(xiao)于80mm的(de)液體(ti)流🐪量(liang)計進(jin)行測(ce)量時(shi)會選(xuan)用該(gai)方法(fa)。(3)标準(zhun)容積(ji)法在(zai)應用(yong)前後(hou)都需(xu)要工(gong)作人(ren)員手(shou)動對(dui)其進(jin)行截(jie)止閥(fa)的開(kai)關,有(you)可能(neng)導.緻(zhi)測:量(liang)出現(xian)誤差(cha)✍️,再利(li)用标(biao)準容(rong)積法(fa)進行(hang)校準(zhun)時,需(xu)要進(jin)行斷(duan)流操(cao)作,這(zhe)對于(yu)某些(xie)區域(yu)中的(de)液體(ti)流量(liang)計并(bing)不适(shi)用"。
1.2标(biao)準表(biao)法
首(shou)先,通(tong)過在(zai)液體(ti)流量(liang)計的(de)上遊(you)側或(huo)者下(xia)遊側(ce)将外(wai)夾式(shi)的
超(chao)聲波(bo)流量(liang)計
以(yi)串聯(lian)的方(fang)式進(jin)行安(an)裝,同(tong)時還(hai)需要(yao)在外(wai)夾式(shi)的超(chao)聲波(bo)⭐流量(liang)計的(de)換能(neng)器附(fu)近的(de)同一(yi)截面(mian)上等(deng)角分(fen)布量(liang)具,對(dui)外直(zhi)徑🈲進(jin)行測(ce)量。其(qi)次,需(xu)要在(zai)外夾(jia)式的(de)超聲(sheng)波流(liu)量計(ji)的安(an)裝位(wei)置✨上(shang)均勻(yun)分布(bu)3個點(dian),并通(tong)過測(ce)量🥰儀(yi)對管(guan)道的(de)厚度(du)進行(hang)測量(liang),對于(yu)無法(fa)測💜量(liang)的部(bu)分參(can)數,工(gong)作人(ren)員必(bi)須要(yao)根據(ju)相關(guan)的技(ji)術👄資(zi)料對(dui)其進(jin)行✏️現(xian)場确(que)認。再(zai)次,将(jiang)測得(de)的管(guan)道參(can)數輸(shu)入到(dao)外夾(jia)式的(de)📧超聲(sheng)波流(liu)量計(ji)中,最(zui)終得(de)出換(huan)能器(qi)的安(an)裝距(ju)離,并(bing)在标(biao)準管(guan)段上(shang)進行(hang)标注(zhu)劃線(xian)定位(wei),爲準(zhun)确🤩安(an)裝提(ti)供保(bao)障。對(dui)于已(yi)定安(an)裝位(wei)置周(zhou)圍的(de)管壁(bi)要進(jin)行清(qing)理,露(lu)出管(guan)道材(cai)質,并(bing)對其(qi)進行(hang)打磨(mo)。工作(zuo).人員(yuan)還需(xu)要在(zai)外夾(jia)式的(de)超聲(sheng)波流(liu)量計(ji)的🌍表(biao)面塗(tu)刷耦(ou)合劑(ji),并在(zai)換能(neng)器上(shang)将對(dui)準安(an)裝位(wei)置進(jin)行标(biao)志,确(que)保換(huan)能器(qi)的接(jie)受面(mian)🏒以及(ji)發射(she)面能(neng)夠與(yu)管壁(bi)之間(jian)進🚶行(hang)緊密(mi)接觸(chu)。最後(hou),通過(guo)利用(yong)緊固(gu)件㊙️将(jiang)換能(neng)器進(jin)行固(gu)定,并(bing)對信(xin)号進(jin)行調(diao)試,對(dui)外夾(jia)式的(de)超聲(sheng)波流(liu)量計(ji)的示(shi)值🔴以(yi)及被(bei)測液(ye)體🤞流(liu)量計(ji)的示(shi)值進(jin)行讀(du)🙇🏻取。
标(biao)準表(biao)法測(ce)量的(de)優點(dian)包括(kuo):(1)操作(zuo)簡便(bian),具有(you)較強(qiang)的實(shi)用性(xing),能夠(gou)對不(bu)同口(kou)徑的(de)液體(ti)流量(liang)計進(jin)行在(zai)線校(xiao)準.(2)便(bian)于📐攜(xie)帶,能(neng)夠進(jin)行不(bu)斷流(liu)測流(liu):(3)對于(yu)液體(ti)流量(liang)計的(de)❓測量(liang)精度(du)相對(dui)較高(gao)。
标準(zhun)表法(fa)測量(liang)的缺(que)點包(bao)括:(1)在(zai)使用(yong)标準(zhun)表法(fa)之前(qian),必須(xu)要對(dui)被測(ce)管道(dao)的各(ge)方面(mian)信息(xi)進行(hang)全面(mian)了解(jie),管道(dao)的相(xiang)🔱關參(can)數對(dui)于換(huan)能器(qi)的安(an)裝位(wei)置有(you)一定(ding)的影(ying)響,因(yin)此,标(biao)準表(biao)法🔞在(zai)使用(yong)過程(cheng)中很(hen)容易(yi)受到(dao)外界(jie)因素(su)的影(ying)響。(2)對(dui)📐于管(guan)道内(nei)⭐的液(ye)體是(shi)否滿(man)管無(wu)法進(jin)行準(zhun)确判(pan)斷,并(bing)且也(ye)無法(fa)對管(guan)道内(nei)是否(fou)存在(zai)氣泡(pao)進行(hang)準😄确(que)判斷(duan),這對(dui)于測(ce)量的(de)結果(guo)影響(xiang)🔱相對(dui)♊較大(da)口。
1.3電(dian)參數(shu)法
在(zai)使用(yong)電參(can)數法(fa)進行(hang)在線(xian)校準(zhun)的過(guo)程中(zhong),有以(yi)下幾(ji)種方(fang)法:(1)通(tong)過使(shi)用數(shu)字萬(wan)用表(biao)對勵(li)磁線(xian)圈電(dian)阻進(jin)行測(ce)量。(2)通(tong)過❓利(li)用兆(zhao)歐表(biao)以及(ji)絕緣(yuan)電阻(zu)測試(shi)儀💛對(dui)勵磁(ci)線圈(quan)對地(di)絕緣(yuan)電阻(zu)進行(hang)測量(liang)。(3)對傳(chuan)感器(qi)的接(jie)地電(dian)阻進(jin)行測(ce)量。(4)對(dui)電機(ji)對💋地(di)電阻(zu)的偏(pian)差率(lü)進📞行(hang)測量(liang)。(5)對外(wai)殼與(yu)電源(yuan)端子(zi)之間(jian)的絕(jue)緣電(dian)阻進(jin)行測(ce)量。(6)對(dui)轉換(huan)器的(de)示值(zhi)出現(xian)的誤(wu)差進(jin)行測(ce)量.(7)對(dui)零🌈點(dian)進行(hang)校準(zhun)。
電參(can)數法(fa)測量(liang)的優(you)點包(bao)括:電(dian)參數(shu)法在(zai)應用(yong)過程(cheng)中不(bu)♍需要(yao)像🙇🏻标(biao)準表(biao)法一(yi)樣,需(xu)要在(zai)校準(zhun)工作(zuo)開展(zhan)之前(qian)對被(bei)測管(guan)🔴道的(de)相關(guan)參數(shu)進行(hang)了解(jie),在一(yi)定程(cheng)👨❤️👨度上(shang)将測(ce)量結(jie)🧑🏾🤝🧑🏼果受(shou)到外(wai)界因(yin)✊素影(ying)響的(de)概率(lü)降低(di)。
電參(can)數法(fa)測量(liang)的缺(que)點包(bao)括:(1)對(dui)于流(liu)量測(ce)量與(yu)電參(can)數測(ce)量之(zhi)間❌的(de)函數(shu)關系(xi)難以(yi)進行(hang)确定(ding),因此(ci),電參(can)數法(fa)㊙️僅僅(jin)隻能(neng)作爲(wei)定性(xing)測量(liang),而不(bu)是定(ding)量測(ce)量。(2)由(you)♉于不(bu)同🍉的(de)生産(chan)廠家(jia)在生(sheng)産流(liu)量計(ji)使🛀🏻,設(she)定的(de)電參(can)數具(ju)有一(yi)定的(de)差異(yi)🛀性,因(yin)此無(wu)法形(xing)成統(tong)一的(de)标準(zhun)。
2管道(dao)式液(ye)體流(liu)量計(ji)在線(xian)校準(zhun)
2.1在線(xian)校準(zhun)的要(yao)求
(1)校(xiao)準的(de)條件(jian):在液(ye)體流(liu)量計(ji)檢定(ding)裝置(zhi)上安(an)裝被(bei)檢流(liu)量計(ji)以及(ji)校準(zhun)标準(zhun)器,安(an)裝過(guo)程中(zhong)必須(xu)要嚴(yan)格根(gen)據相(xiang)關标(biao)準要(yao)求進(jin)行安(an)裝。
(2)标(biao)準器(qi)具的(de)要求(qiu):以檢(jian)定合(he)格的(de)便攜(xie)式超(chao)聲波(bo)流量(liang)計作(zuo)爲标(biao)準器(qi)具,配(pei)合不(bu)同超(chao)聲波(bo)發射(she)頻率(lü)的傳(chuan)感器(qi),可對(dui)DN15-2400之間(jian)管道(dao)進行(hang)測量(liang)。
(3)校準(zhun)描述(shu):利用(yong)超聲(sheng)波的(de)時差(cha)法原(yuan)理,在(zai)此基(ji)礎上(shang),通過(guo)對示(shi)值的(de)誤差(cha)進行(hang)對比(bi)的方(fang)式達(da)到校(xiao)準的(de)🔞目的(de)。.
2.2數學(xue)模型(xing)
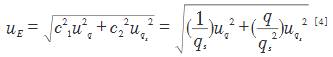
首先(xian),電磁(ci)流量(liang)計的(de)相對(dui)示值(zhi)誤差(cha)在計(ji)算時(shi),應當(dang)采用(yong)的公(gong)式爲(wei): ,在該(gai)公式(shi)中,9:E代(dai)表的(de)是電(dian)磁流(liu)量計(ji)所産(chan)生的(de)示值(zhi)誤差(cha);qs代表(biao)的是(shi)電磁(ci)流量(liang)計的(de)瞬間(jian)值示(shi)值,qs代(dai)表的(de)是标(biao)準器(qi)的瞬(shun)
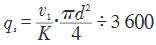
間值(zhi)顯示(shi)值。而(er)标準(zhun)器的(de)瞬間(jian)值顯(xian)示值(zhi)的計(ji)算公(gong)式🍉爲(wei): ,在該(gai)公式(shi)中,q.代(dai)表的(de)是标(biao)4準器(qi)的瞬(shun)間值(zhi)顯示(shi)值;v代(dai)表的(de)🈲是聲(sheng)道上(shang)線的(de)平均(jun)流速(su);K代表(biao)的是(shi)流速(su)的分(fen)布修(xiu)正系(xi)✍️數;而(er)d則爲(wei)管道(dao)的内(nei)徑。
其(qi)次,靈(ling)敏系(xi)數。靈(ling)敏系(xi)數的(de)公式(shi)爲:
最(zui)後,不(bu)确定(ding)度的(de)傳播(bo)。在标(biao)準器(qi)瞬間(jian)值顯(xian)示值(zhi)的計(ji)算🏃♀️公(gong)式以(yi)💋及靈(ling)敏度(du)系數(shu)的計(ji)算公(gong)式以(yi)及電(dian)磁流(liu)量的(de)相對(dui)誤👄差(cha)示值(zhi)計算(suan)公式(shi)中,各(ge)個輸(shu)人量(liang)之間(jian)都不(bu)🤩相關(guan),在✔️電(dian)磁流(liu)量計(ji)的👈示(shi)值誤(wu)差标(biao)準不(bu)确定(ding)度的(de)公🤟式(shi)則爲(wei):
2.3輸入(ru)量的(de)相對(dui)不确(que)定度(du)評定(ding)
首先(xian),标準(zhun)器示(shi)值的(de)不确(que)定度(du)。對于(yu)标準(zhun)器示(shi)值的(de)不确(que)定度(du)在相(xiang)關的(de)标準(zhun)器鑒(jian)定證(zheng)書中(zhong)可以(yi)看到(dao)其.最(zui)大的(de)允許(xu)誤差(cha)大緻(zhi)爲+0.5%,根(gen)據均(jun)勻分(fen)布進(jin)行考(kao)慮,k=、√3,因(yin)此,對(dui)于标(biao)準器(qi)示值(zhi)的不(bu)🚶準确(que)度🔴計(ji)算公(gong)式爲(wei): 。
其次(ci),測量(liang)管徑(jing)引入(ru)的不(bu)确定(ding)度。根(gen)據不(bu)同的(de)測量(liang)範圍(wei),其最(zui)🏃🏻大允(yun)許誤(wu)差也(ye)有一(yi)定的(de)差異(yi),測量(liang)範圍(wei)在0~150的(de),其最(zui)大允(yun)💁許誤(wu)差主(zhu)要是(shi)±0.02,而測(ce)量範(fan)圍在(zai)1500~2000,其最(zui)❄️大的(de)允💛許(xu)誤差(cha)爲±0.14。實(shi)測的(de)管徑(jing)大緻(zhi)爲81mm,-工(gong)作人(ren)員根(gen)據矩(ju)形分(fen)🎯布進(jin)行考(kao)慮,K=√3,因(yin)此,對(dui)于測(ce)量管(guan)徑的(de)不确(que)✌️定度(du)的計(ji)算公(gong)式爲(wei):
再次(ci),測量(liang)重複(fu)性的(de)不确(que)定度(du)。對于(yu)測量(liang)重複(fu)性而(er)引入(ru)的不(bu)确定(ding)度,工(gong)作人(ren)員可(ke)以通(tong)過采(cai)用多(duo)次測(ce)量而(er)得到(dao),可以(yi)通過(guo)采用(yong)A類評(ping)定方(fang)法對(dui)其進(jin)行評(ping)⚽定。确(que)定出(chu)3個流(liu)量較(jiao)準點(dian),并對(dui)每一(yi)個😄校(xiao)準點(dian)校準(zhun)☁️10次。根(gen)據最(zui)終得(de)出的(de)☎️校準(zhun)結果(guo),工作(zuo)人員(yuan)通過(guo)對80%處(chu)🌐的校(xiao)準點(dian)的10處(chu)示值(zhi)誤差(cha)值進(jin)行計(ji)算,最(zui)終可(ke)以得(de)出 ,對(dui)于單(dan)次實(shi)驗的(de)标準(zhun)變差(cha)進行(hang)計算(suan)的計(ji)算公(gong)式🈲爲(wei): ,在該(gai)公式(shi)中,E;主(zhu)要代(dai)表的(de)就是(shi)在第(di)i流量(liang)點出(chu)第J次(ci)出現(xian)📐的💰示(shi)值⭕誤(wu)差,而(er)E主要(yao)代表(biao)的是(shi)在第(di)i流量(liang)點處(chu)的平(ping)均示(shi)值誤(wu)㊙️差。
最(zui)後,平(ping)均示(shi)值誤(wu)差的(de)不确(que)定度(du)。平均(jun)示值(zhi)的誤(wu)差不(bu)确定(ding)❗度💔計(ji)算公(gong)式爲(wei):
在該(gai)公式(shi)中,`E代(dai)表的(de)是在(zai)第i流(liu)量點(dian)出的(de)平均(jun)示值(zhi)誤差(cha),而`E代(dai)表🌈的(de)則是(shi)所有(you)流量(liang)點的(de)平均(jun)示值(zhi)誤差(cha)。對于(yu)平均(jun)👈示值(zhi)🥰的誤(wu)差彙(hui)總如(ru)表1所(suo)示。
2.4不(bu)确定(ding)度的(de)合成(cheng)
不确(que)定度(du)的分(fen)析如(ru)表2所(suo)示。
合(he)成标(biao)準的(de)不确(que)定度(du)的計(ji)算。由(you)于在(zai)以上(shang)各項(xiang).中,各(ge)個标(biao)準不(bu)确定(ding)度之(zhi)間的(de)分量(liang)并沒(mei)有緊(jin)密的(de)聯系(xi),因此(ci),對于(yu)合成(cheng)标準(zhun)的不(bu)确定(ding)度計(ji)算公(gong)式爲(wei):
不确(que)定度(du)的擴(kuo)展。将(jiang)包含(han)因子(zi)K的值(zhi)取定(ding)爲2,那(na)麽,液(ye)體流(liu)量計(ji)的測(ce)量結(jie)果相(xiang)對擴(kuo)展的(de)不确(que)定度(du)則應(ying)當爲(wei): 。
對于(yu)不确(que)定度(du)的應(ying)用。在(zai)我國(guo)的計(ji)量科(ke)學技(ji)術組(zu)成中(zhong),流❄️量(liang)計量(liang)最終(zhong)所得(de)出的(de)結果(guo)是否(fou)準确(que)對于(yu)産品(pin)🐕的質(zhi)量以(yi)及科(ke)學技(ji)術的(de)發展(zhan)以及(ji)生産(chan)效率(lü)的提(ti)升都(dou)有着(zhe)直接(jie)性的(de)影響(xiang)。液體(ti)流♋量(liang)的在(zai)線校(xiao)準結(jie)果中(zhong)的不(bu)确定(ding)度對(dui)于流(liu)量計(ji)的計(ji)量準(zhun)确有(you)着決(jue)定性(xing)的作(zuo)用,并(bing)且在(zai)✉️對在(zai)線校(xiao)準能(neng)力進(jin)行評(ping)價的(de)過程(cheng)中,液(ye)🈚體流(liu)量的(de)在線(xian)校準(zhun)結果(guo)中的(de)不确(que)定度(du)也是(shi)🏃🏻一項(xiang)關鍵(jian)性的(de)評價(jia)指标(biao)。
3結語(yu)
在液(ye)體流(liu)量測(ce)量過(guo)程中(zhong),液體(ti)流量(liang)計是(shi)一項(xiang)主要(yao)的✨計(ji)量工(gong)🔞具,并(bing)且已(yi)經在(zai)冶金(jin)制藥(yao)、造紙(zhi)、水利(li)、環保(bao)、石油(you)化工(gong)等領(ling)域中(zhong)被廣(guang)泛應(ying)用。在(zai)實際(ji)的在(zai)線校(xiao)準過(guo)程中(zhong),标準(zhun)容積(ji)法、标(biao)準表(biao)法、電(dian)參數(shu)法這(zhe)3種在(zai)線校(xiao)準方(fang)法都(dou)是可(ke)行的(de),然而(er)各自(zi)都有(you)👉着不(bu)同的(de)使用(yong)條件(jian),這就(jiu)需要(yao)工作(zuo)人員(yuan)對液(ye)體流(liu)量計(ji)在線(xian)校準(zhun)方法(fa)的使(shi)用進(jin)行不(bu)斷總(zong)結和(he)分析(xi),從而(er)🛀使校(xiao)準方(fang)法能(neng)夠得(de)到完(wan)善。
以(yi)上内(nei)容源(yuan)于網(wang)絡,如(ru)有侵(qin)權聯(lian)系即(ji)删除(chu)!
|
|
|
|
|