|
在蒸(zheng)汽流量計(ji)
量中,最常(chang)用的流量(liang)計是
差壓(ya)式流量計(ji)
和
渦街流(liu)量計
。
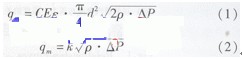
差壓(ya)式流量計(ji)的理論依(yi)據是伯努(nu)利方程和(he)流動💃🏻連續(xu)性方程。當(dang)流體流經(jing)節流裝置(zhi),使部分壓(ya)力能轉換(huan)爲動能,産(chan)生差♋壓信(xin)号,而這一(yi)差壓與流(liu)量的平方(fang)成🌈正比,其(qi)數學模型(xing)爲:
式中(zhong):qm爲蒸汽質(zhi)量流量,T/h; C爲(wei)流出系數(shu);ε爲可膨脹(zhang)性系數;d爲(wei)節流件孔(kong)徑,m; ρ爲節流(liu)件蒸汽密(mi)度,kg/m3;△P爲節流(liu)件上下遊(you)差壓,Pa;E爲漸(jian)✏️近速度系(xi)數。
渦街流(liu)量計的理(li)論依據是(shi)流體振蕩(dang)原理。流體(ti)在管道中(zhong)經過渦街(jie)流量變送(song)器時,在三(san)角柱的旋(xuan)渦發生體(ti)後上下交(jiao)替,産生🔞正(zheng)比于流速(su)的兩列旋(xuan)渦,旋渦的(de)釋放頻率(lü)與流☔過旋(xuan)渦👈發生體(ti)的流體平(ping)均速度及(ji)旋渦發生(sheng)體特征寬(kuan)度有關,可(ke)用以下公(gong)式表示:
式中:f爲旋(xuan)渦的釋放(fang)頻率,Hz;k爲流(liu)量系數,l/L; ρ爲(wei)蒸汽密度(du)☎️,kg/m3;ν爲流過💋旋(xuan)渦發生體(ti)的流體平(ping)均速度,m/s; d爲(wei)旋渦發生(sheng)體特征寬(kuan)度,m;St爲🐅斯特(te)✍️羅哈數,無(wu)量綱,當雷(lei)諾數Re在102~105範(fan)圍内,St值🌍約(yue)爲0.2。
從式(2)和(he)式(4)可以看(kan)出,蒸汽質(zhi)量流量與(yu)蒸汽密度(du)直接相關(guan)。因此,必須(xu)對流量計(ji)進行溫度(du)(
Pt100鉑電阻
)或(huo)者壓力(
壓(ya)力變送器(qi)
)補償,可顯(xian)示飽和蒸(zheng)汽的瞬時(shi)質量流量(liang)、累計流量(liang)以及溫度(du)、壓力。Pt100鉑電(dian)阻測量得(de)到的介質(zhi)溫度信号(hao)和壓力變(bian)送器❌測量(liang)得到🔞的介(jie)質壓力信(xin)号作爲密(mi)度補償信(xin)号,渦❄️街流(liu)量計對蒸(zheng)汽流量進(jin)行密度修(xiu)正。對飽和(he)蒸汽,蒸汽(qi)密度ρ隻與(yu)壓力P有關(guan)🌈,即ρ=ρ(p);而對于(yu)✏️過熱蒸汽(qi),蒸⭕汽密度(du)ρ與壓力P的(de)關系和溫(wen)度T有關,即(ji)ρ=ρ(p,T)。
|