欧美成人在线视频 4種常用流量計性能的對比-江蘇省霸展包装机械有限公司

 

;                  
                   
        首   頁│  公(gong)司簡介(jie)  産品中(zhong)心  質量(liang)體系  銷(xiao)售網絡(luo)  聯系我(wo)們
 您現(xian)在的位(wei)置 > 首頁(ye) > 行業新(xin)聞 > 4種常(chang)用流量(liang)計性能(neng)的對比(bi)
  時間:2023-7-3 08:53:11

4種(zhong)常用流(liu)量計性(xing)能的對(dui)比

摘要(yao):利用π定(ding)理推導(dao)出孔闆(pan)、文丘裏(li)、電磁及(ji) 渦輪流(liu)量計 水(shui)力特性(xing)。将4種流(liu)量計 串(chuan)聯組成(cheng)測試裝(zhuang)置進行(hang)試驗研(yan)究,利用(yong)軟件采(cai)集各流(liu)量計測(ce)試數據(ju),與稱重(zhong)法測量(liang)數據進(jin)行對比(bi)。用Origin軟件(jian)繪出流(liu)量曲線(xian),分析在(zai)不同流(liu)量條件(jian)下各種(zhong)流量計(ji)的精度(du)和誤差(cha)率,以期(qi)爲流量(liang)計的選(xuan)型和應(ying)用提供(gong)有價值(zhi)的參考(kao)依據。
  在(zai)泵的運(yun)行與調(diao)節中,對(dui)泵流量(liang)的測量(liang)是泵性(xing)能檢測(ce)的重要(yao)指标,實(shi)際中要(yao)用到大(da)量的流(liu)量計,流(liu)量計性(xing)能将直(zhi)接反映(ying)出泵的(de)流量精(jing)度[1-2],因此(ci),有必要(yao)對流量(liang)計的性(xing)能有所(suo)了解和(he)掌握。本(ben)文對常(chang)用的4種(zhong)流量計(ji)進行試(shi)驗對比(bi),得出了(le)相關結(jie)論,以期(qi)爲實際(ji)應用及(ji)選型提(ti)供依據(ju)。
1常用的(de)4種流量(liang)計
1.1孔闆(pan)、文丘裏(li)流量計(ji)
  孔闆、文(wen)丘裏流(liu)量計是(shi)基于伯(bo)努利方(fang)程原理(li).制造的(de)流量儀(yi)表,如圖(tu)1和圖2所(suo)示。它利(li)用流體(ti)流經節(jie)流裝置(zhi)所産生(sheng)的壓差(cha)來測量(liang)流量,因(yin)此叫作(zuo)差壓流(liu)量計,是(shi)目前應(ying)用最廣(guang)泛的一(yi)類流量(liang)測量儀(yi)表。其特(te)點是:所(suo)測介質(zhi)爲單相(xiang)、均質的(de)牛頓流(liu)體,在通(tong)過節流(liu)裝置時(shi)不發生(sheng)相變和(he)析出雜(za)質,在節(jie)流裝置(zhi)中不得(de)有物質(zhi)黏附或(huo)聚集。适(shi)用于圓(yuan)管和上(shang)下遊有(you)較長間(jian)距的直(zhi)管段。流(liu)動應連(lian)續、穩定(ding),流線與(yu)管軸線(xian)平行。節(jie)流裝置(zhi)結構簡(jian)單,使用(yong)壽命長(zhang),适應性(xing)比較廣(guang),能夠測(ce)量各種(zhong)工況下(xia)的流體(ti),精度可(ke)達.±1%;但其(qi)壓力損(sun)失較大(da),刻度呈(cheng)非線性(xing)。
孔闆流(liu)量計原(yuan)理圖示(shi) 
1.2電磁流(liu)量計
   電(dian)磁流量(liang)計 是基(ji)于法拉(la)第電磁(ci)感應定(ding)律制成(cheng)的測量(liang)導電性(xing)液體的(de)儀表,如(ru)圖3所示(shi)。即利用(yong)電磁感(gan)應原理(li)來測量(liang)導管中(zhong)導電液(ye)體的平(ping)均流速(su)。
電磁流(liu)量計原(yuan)理圖 
  其(qi)特點是(shi):測量通(tong)道爲光(guang)滑直管(guan),不會阻(zu)塞,适用(yong)于測量(liang)含固體(ti)顆粒的(de)液固二(er)相流體(ti)(如紙漿(jiang)、泥漿.污(wu)水等),沒(mei)有壓力(li)損失,所(suo)測體積(ji)流量不(bu)受流體(ti)密度、黏(nian)度、溫度(du)、壓力和(he)電導率(lü)(>10-5Ω/cm)的影響(xiang),測量範(fan)圍大(流(liu)速爲0.3~10m/s),口(kou)徑範圍(wei)寬(3mm至3m),測(ce)量精度(du)比較高(gao)(基本誤(wu)差值的(de)±0.2%~±0.5%),輸出與(yu)被測介(jie)質平均(jun)流速成(cheng)正比,與(yu)流動狀(zhuang)态無關(guan),可測量(liang)瞬時脈(mo)動流量(liang)。但是它(ta)不能測(ce)量電導(dao)率很低(di)的液體(ti)(如石油(you)制品),不(bu)能測量(liang)氣體、蒸(zheng)汽和含(han)有較大(da)氣泡的(de)液體,不(bu)能用于(yu)測量較(jiao)高溫度(du)的介質(zhi)(易受外(wai)界電磁(ci)幹擾)。
1.3渦(wo)輪流量(liang)計
  渦輪(lun)流量計(ji) 是基于(yu)動量矩(ju)守恒原(yuan)理制造(zao)的速度(du)式流量(liang)儀表,即(ji)利用置(zhi)于流體(ti)中葉輪(lun)的旋轉(zhuan)角速度(du)與流體(ti)流速成(cheng)比例的(de)關系,通(tong)過測量(liang)葉輪的(de)轉速來(lai)反映通(tong)過管道(dao)的體積(ji)流量,是(shi)目前流(liu)量儀表(biao)中比較(jiao)成熟的(de)高精度(du)儀表,工(gong)作原理(li)如4所示(shi)。
 
  其特點(dian)是:結構(gou)簡單、加(jia)工零部(bu)件少、重(zhong)量輕、維(wei)修方便(bian)、流通能(neng)力大(同(tong)樣口徑(jing)可通過(guo)的流量(liang)大),易實(shi)現脈沖(chong)遠距離(li)傳送,可(ke)适應高(gao)參數(高(gao)溫、高壓(ya)和低溫(wen))的測量(liang)需要,測(ce)量精度(du)較高,測(ce)量範圍(wei)較寬,動(dong)态響應(ying)好,壓力(li)損失較(jiao)小;但是(shi)被測流(liu)體的部(bu)分物性(xing)對測量(liang)精度有(you)一定的(de)影響,不(bu)能長期(qi)保持校(xiao)準特性(xing),對被測(ce)介質清(qing)潔度要(yao)求較高(gao),流體的(de)溫度、黏(nian)度、密度(du)對儀表(biao)指示值(zhi)有較大(da)影響,由(you)于有轉(zhuan)動部件(jian)會帶來(lai)磨損,儀(yi)表的使(shi)用年限(xian)受影響(xiang)。适宜測(ce)量比較(jiao)潔淨的(de)低黏度(du)液體。
2π定(ding)理推導(dao)水力特(te)性
2.1孔闆(pan)、文丘裏(li)流量計(ji)水力特(te)性
  對于(yu)孔闆、文(wen)丘裏流(liu)量計,流(liu)速ʋ的影(ying)響因素(su)有:進口(kou)管徑d1、孔(kong)徑(喉徑(jing))d2、流體的(de)密度ρ、動(dong)力黏度(du)系數μ及(ji)斷面間(jian)壓強差(cha)△p.據π定理(li):
 
  由(2)式可(ke)知,流量(liang)Q與流量(liang)系數μQ、管(guan)道雷諾(nuo)數Re及管(guan)徑與孔(kong)徑比d2/d1有(you)關。
2.2電磁(ci)流量計(ji)水力特(te)性
  當流(liu)體的電(dian)導率大(da)于10-5s/cm時,電(dian)磁流量(liang)計 流速(su)與流體(ti)的物性(xing)無關,流(liu)速ʋ的影(ying)響因素(su)有:電磁(ci)感應強(qiang)度e、磁場(chang)強度B、管(guan)道直徑(jing)D.據π定理(li):
 
  由(4)式可(ke)知,當磁(ci)場強度(du)B、管道直(zhi)徑D爲常(chang)數時,流(liu)量Q僅與(yu)電磁感(gan)應強度(du)e相關且(qie)成正比(bi)。
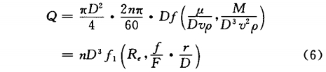
2.3渦輪流(liu)量計水(shui)力特性(xing)
  當渦輪(lun)結構一(yi)定時,渦(wo)輪流量(liang)計流速(su)v與葉輪(lun)的轉速(su)相關,故(gu)影響因(yin)素有:葉(ye)輪的旋(xuan)轉角速(su)度w、流體(ti)密度ρ、動(dong)力黏度(du)系數μ、管(guan)徑D、葉輪(lun)轉動的(de)阻力矩(ju)M(包括摩(mo)擦阻力(li)矩和磁(ci)阻尼力(li)矩等).據(ju)π定理:
 
 
  由(you)(6)式可知(zhi),當管徑(jing)D一定,流(liu)量Q與渦(wo)輪轉速(su)n成--定的(de)比例關(guan)系,和雷(lei)諾數Re、渦(wo)輪旋轉(zhuan)阻力與(yu)流體慣(guan)性力之(zhi)比及渦(wo)輪平均(jun)半徑與(yu)管徑之(zhi)比相關(guan)。
3試驗裝(zhuang)置及方(fang)法
  試驗(yan)測試裝(zhuang)置由電(dian)磁、渦輪(lun)、文丘裏(li)和孔闆(pan)4個同口(kou)徑(中25mm)的(de)流量計(ji),組成串(chuan)聯管路(lu)、自動切(qie)換控制(zhi)儀、計算(suan)機測控(kong)系統、自(zi)循環供(gong)水系統(tong)及輔助(zhu)補水機(ji)構,如圖(tu)5所示。
 
  孔(kong)闆流量(liang)計 采用(yong)标準孔(kong)闆角接(jie)取壓,β=0.450;文(wen)丘裏流(liu)量計采(cai)用圓錐(zhui)形文丘(qiu)裏管,β=0.628;電(dian)磁流量(liang)計傳感(gan)器型号(hao)LDG-25S,精度1級(ji);渦輪流(liu).量計傳(chuan)感器型(xing)号LWGY-25A,精度(du)0.5級。輔助(zhu)補水機(ji)構的作(zuo)用是當(dang)用稱重(zhong)法測量(liang)時,對水(shui)箱進行(hang)補水以(yi)保持水(shui)箱水位(wei)不變,形(xing)成管道(dao)内恒速(su)定常運(yun)動。系統(tong)管徑φ25mm,流(liu)量範圍(wei)0~3m3/h。各流量(liang)計數據(ju)由計算(suan)機瞬時(shi)采集。稱(cheng)重法由(you)秒表記(ji)錄時間(jian),電子秤(cheng)測試重(zhong)量,采用(yong)同一流(liu)量測3次(ci),取平均(jun)值爲測(ce)定流量(liang)。同一流(liu)量4個流(liu)量計和(he)稱重法(fa)同時測(ce)量,測定(ding)流量值(zhi)各不相(xiang)同,以稱(cheng)重法爲(wei)真值基(ji)準,通過(guo)分析對(dui)比,揭示(shi)各自的(de)性能特(te)點。
4試驗(yan)數據及(ji)分析
  本(ben)試驗測(ce)得流量(liang)計及稱(cheng)重法5組(zu)實驗數(shu)據,按試(shi)驗順序(xu)計算彙(hui)總如表(biao)1和表2所(suo)示。爲了(le)便于研(yan)究,将稱(cheng)重法測(ce)量數據(ju)爲X軸,各(ge)流量計(ji)數據與(yu)稱重法(fa)數據之(zhi)差爲Y軸(zhou),以及相(xiang)對誤差(cha)爲Y軸,利(li)用Origin軟件(jian)繪流量(liang)曲線如(ru)圖6、圖7所(suo)示。
 
 
  分析(xi)圖6和圖(tu)7,當流量(liang)0.451m3/h時,管中(zhong)水速爲(wei)0.255m/s,雷諾數(shu)Re=6336,處于紊(wen)流狀态(tai)。對于電(dian)磁流量(liang)計,測量(liang)精度主(zhu)要受傳(chuan)感器性(xing)能的影(ying)響,流速(su)較低時(shi)積聚在(zai)電極上(shang)的電荷(he)較少,受(shou)縱向速(su)度影響(xiang)明顯,因(yin)此出現(xian)較大的(de)偏差;在(zai)流量逐(zhu)漸增加(jia)的過程(cheng)中,縱向(xiang)速度的(de)影響逐(zhu)漸減小(xiao),誤差減(jian)小,精度(du)、可靠性(xing)增加,說(shuo)明電磁(ci)流量計(ji)在小流(liu)量時精(jing)度較低(di)。對于渦(wo)輪流量(liang)計,流量(liang)與渦輪(lun)轉速成(cheng)比例,與(yu)儀表常(chang)數有關(guan),小流量(liang)時出現(xian)偏差,測(ce)量值偏(pian)小,這是(shi)因爲此(ci)時葉輪(lun)的機械(xie)摩擦阻(zu)力及磁(ci)阻尼力(li)矩相對(dui)旋轉力(li)矩較大(da),因此所(suo)測的流(liu)量值偏(pian)小;随着(zhe)流量的(de)增加,旋(xuan)轉力矩(ju)增大,誤(wu)差逐漸(jian)減小,精(jing)度、可靠(kao)性增加(jia)。.對于文(wen)丘裏流(liu)量計,屬(shu)于平緩(huan)節流,所(suo)測過程(cheng)中受旋(xuan)渦影響(xiang)較小,且(qie)沒有旋(xuan)轉部件(jian),精度取(qu)決于試(shi)驗标定(ding),因此精(jing)度、可靠(kao)性較高(gao),說明文(wen)丘裏流(liu)量計适(shi)應性較(jiao)廣。對于(yu)孔闆流(liu)量計,小(xiao)流量時(shi)所測數(shu)據偏大(da),這是因(yin)爲此時(shi)壓差△p較(jiao)小,易受(shou)流體擾(rao)動的影(ying)響,孔闆(pan)前後區(qu)域存在(zai)旋渦,因(yin)而測量(liang)偏差較(jiao)大;随着(zhe)流量的(de)增加,旋(xuan)渦的影(ying)響減小(xiao),精度、可(ke)靠性增(zeng)加,說明(ming)孔闆流(liu)量計不(bu)适于測(ce)量較小(xiao)流量。流(liu)量從0.745m3/h增(zeng)加1.899m3/h的過(guo)程中,電(dian)磁流量(liang)計的精(jing)度要略(lue)高于渦(wo)輪、文丘(qiu)裏和孔(kong)闆流量(liang)計,精度(du)都能達(da)到1級。流(liu)量從1.899m3/h增(zeng)加2.963m3/h的過(guo)程中,各(ge)流量計(ji)精度都(dou)較高,表(biao)現在圖(tu)7中的曲(qu)線趨于(yu)一點。
  以(yi)上分析(xi)可知,電(dian)磁、渦輪(lun)、孔闆流(liu)量計均(jun)不适于(yu)較小的(de)流量,而(er)文丘裏(li)流量計(ji)因爲壓(ya)損小,對(dui)旋渦不(bu)敏感,較(jiao)接近真(zhen)值。大流(liu)量時各(ge)流量計(ji)都有一(yi)定的波(bo).動,但測(ce)值接近(jin)真值,說(shuo)明它們(men)的性能(neng)是可靠(kao)的。
5結語(yu)
  通過本(ben)次試驗(yan)可知,在(zai)小流量(liang)時,孔闆(pan)與電磁(ci)流量計(ji)的數據(ju)偏大、相(xiang)對誤差(cha)也較大(da),渦輪流(liu)量計數(shu)據偏小(xiao)、相對誤(wu)差也較(jiao)小,文丘(qiu)裏流量(liang)計則接(jie)近真值(zhi);大流量(liang)時各流(liu)量計讀(du)數都有(you)一定偏(pian)差,但所(suo)測值接(jie)近真值(zhi),說明性(xing)能都較(jiao)可靠。

本(ben)文來源(yuan)于網絡(luo),如有侵(qin)權聯系(xi)即删除(chu)!


下篇文(wen)章: 超聲(sheng)波流量(liang)計對摻(chan)氫天然(ran)氣管路(lu)結構适(shi)應 上篇(pian)文章: 電(dian)磁流量(liang)計在線(xian)校準的(de)可靠性(xing)分析
 
江(jiang)蘇省霸展包装机械有限公司是(shi)一家專(zhuan)業提供(gong) 渦街流(liu)量計 渦(wo)輪流量(liang)計 電磁(ci)流量計(ji) 的企業(ye),公司将(jiang)以優質(zhi)的服務(wu)優惠的(de)價格,服(fu)務新老(lao)客戶。
 版(ban)權所有(you):江蘇省(sheng)霸展包装机械有限公司       技術支(zhi)持易品(pin)網絡

·
·