日本a级视频 金屬管浮子流量計的應用-江蘇省霸展包装机械有限公司
;                  
                   
 
  溫度(du)儀表系(xi)列
  壓力(li)儀表系(xi)列
  流量(liang)儀表系(xi)列
  校驗(yan)儀表系(xi)列
  顯示(shi)儀表系(xi)列
  變送(song)器儀表(biao)系列
  電(dian)線電纜(lan)系列
 
  氧化锆(gao)氧傳感(gan)器的原(yuan)理及應(ying)用
  有害(hai)氣體檢(jian)測報警(jing)儀選用(yong)原則
  我(wo)國計量(liang)用儀器(qi)儀表的(de)發展和(he)現狀
  國(guo)内儀器(qi)儀表行(hang)業将發(fa)生高科(ke)....
  西安交(jiao)大研制(zhi)出超高(gao)溫沖擊(ji)壓....
  采用(yong)半導體(ti)精密溫(wen)度傳感(gan)......
智能溫(wen)度傳感(gan)器的發(fa)展趨勢(shi)
  簡述幾(ji)種氣體(ti)檢測傳(chuan)感器.....
  利(li)用傳感(gan)器技術(shu)制造智(zhi)能服裝(zhuang)
  新型傳(chuan)感器監(jian)控魚群(qun)數量
   
 您現(xian)在的位(wei)置 > 首頁(ye) > 行業新(xin)聞 > 金屬(shu)管浮子(zi)流量計(ji)的應用(yong)
     

金屬管(guan)浮子流(liu)量計的(de)應用
發(fa)布時間(jian):2021-1-5 08:12:53

摘要:本(ben)文介紹(shao)了金屬(shu)管浮子(zi)流量計(ji)的選型(xing)及安🈲裝(zhuang)。
  金屬管(guan)浮子流(liu)量計 是(shi)目前工(gong)業和實(shi)驗室中(zhong)廣泛應(ying)用的一(yi)種小流(liu)量⛷️測量(liang)儀表,可(ke)🔱以連續(xu)測量封(feng)閉管道(dao)内液體(ti)、氣體和(he)蒸汽的(de)體積流(liu)量,安裝(zhuang)形式多(duo)樣化,适(shi)應性強(qiang),全金屬(shu)結構💛,小(xiao)型化,适(shi)宜各種(zhong)介質的(de)流量測(ce)量。适宜(yi)各種惡(e)劣環境(jing),功能齊(qi)全,現場(chang)指示,輸(shu)出4~20mA、報警(jing)信号,隔(ge)🌈爆型,本(ben)安型防(fang)爆,測量(liang)構件采(cai)用經典(dian)錐管.、浮(fu)子型,廣(guang)泛應用(yong)于國防(fang)、化工、石(shi)油、醫🧑🏾‍🤝‍🧑🏼藥(yao)等工業(ye)部門的(de)流量檢(jian)測及工(gong)業過程(cheng)控制中(zhong)。但由于(yu)對浮子(zi)流量計(ji)💜的流量(liang)修正概(gai)念不清(qing),不甚理(li)解,安裝(zhuang)方式不(bu)符合要(yao)求,用戶(hu)在選表(biao)和用表(biao)時往往(wang)出現差(cha)錯而影(ying)響流量(liang)計的正(zheng)常選擇(ze)和使用(yong)。
一、選型(xing)
  廠家在(zai)進行流(liu)量設計(ji)和标定(ding)時隻能(neng)用水和(he)空氣來(lai)💔代表一(yi)般的液(ye)體和氣(qi)體,《選型(xing)樣本》所(suo)供選擇(ze)的流量(liang)均是用(yong)水和空(kong)氣表示(shi)的。浮子(zi)流量計(ji)用于不(bu)同的介(jie)🔞質和不(bu)同的狀(zhuang)态(比如(ru)氣體的(de)壓力和(he)溫度等(deng))。根據其(qi)🏒測量原(yuan)理在上(shang)述情況(kuang)下盡管(guan)浮子在(zai)測量中(zhong)停留在(zai)同一高(gao)度,但其(qi)所代表(biao)的流量(liang)值不同(tong),要想選(xuan)擇流量(liang)計的規(gui)格、現場(chang)使用好(hao)儀表,就(jiu)要知道(dao)它們的(de)關系即(ji)進行流(liu)量換算(suan)。(即使是(shi)實流刻(ke)度也需(xu)要在選(xuan)表和标(biao)定時進(jin)行流量(liang)換算)換(huan)算的依(yi)據主要(yao)有兩個(ge):浮子流(liu)🌈量計的(de)理論計(ji)算公式(shi)和理想(xiang)氣體的(de)狀态方(fang)程。浮子(zi)流量計(ji)的理論(lun)計算公(gong)式👄

式中(zhong):
Q一體積(ji)流量
α一(yi)流量系(xi)數
FQ一浮(fu)子最大(da)直徑與(yu)其同高(gao)度錐管(guan)橫截面(mian)之間的(de)環隙面(mian)積
g一重(zhong)力加速(su)度
Vt一浮(fu)子的體(ti)積
ρj一浮(fu)子的密(mi)度.
ρ一被(bei)測流體(ti)的密度(du)
A一浮子(zi)的最大(da)截面積(ji)(式中的(de)單位爲(wei)cm、g、s制)
理想(xiang)氣體的(de)狀态方(fang)程

式中(zhong):P0,P1一兩種(zhong)狀态下(xia)的絕對(dui)壓力
T0,T1一(yi)兩種狀(zhuang)态下的(de)絕對溫(wen)度(開爾(er)文溫度(du))
Vo,V1一兩種(zhong)狀态下(xia)的體積(ji)
(在這裏(li)忽略壓(ya)縮系數(shu)的影響(xiang)一一壓(ya)力.不高(gao)、精度要(yao)求不高(gao)的情況(kuang)下。否則(ze)在等式(shi)兩邊的(de)分母分(fen)别乘以(yi)壓縮系(xi)數Z。、Z,)
從理(li)想氣體(ti)的狀态(tai)方程又(you)可以演(yan)繹以下(xia)兩種關(guan)系:

式中(zhong):M一介質(zhi)的質量(liang)
ρ一介質(zhi)的密度(du)
Q一介質(zhi)的流量(liang)
流量換(huan)算公式(shi):
  浮子流(liu)量計的(de)理論計(ji)算公式(shi)(1)是流量(liang)換算的(de)基本公(gong)式,當流(liu)量計制(zhi)造好以(yi)後,公式(shi)中的諸(zhu)多項(2g.y.py.A.a都(dou)将是常(chang)數),如果(guo)測量不(bu)同的介(jie)質浮子(zi)停留在(zai)相同的(de)位置(即(ji)相同),那(na)麽它們(men)流量之(zhi)間的關(guan)系将如(ru)下式🐇:

  因(yin)此它們(men)的流量(liang)換算僅(jin)僅與它(ta)們在測(ce)量狀态(tai)下👅的密(mi)度有關(guan),實質是(shi)密度換(huan)算液體(ti)的測量(liang)和換算(suan)🌈
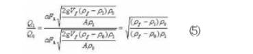
  流量計(ji)用于液(ye)體流量(liang)測量時(shi)制造廠(chang)是用常(chang)溫下清(qing)⚽潔的水(shui)作爲校(xiao)驗液來(lai)校準的(de),若被測(ce)介質的(de)密度與(yu)水的密(mi)度不同(tong)時,選表(biao)時應根(gen)據前述(shu)對被測(ce)介質的(de)流量進(jin)行換.算(suan)。公式如(ru)下:

式中(zhong):Q1一被測(ce)介質的(de)實際流(liu)量(工作(zuo)狀況下(xia)的流量(liang))
Q0一換算(suan)成水的(de)流量
Kp一(yi)體積流(liu)量的密(mi)度修正(zheng)系數
Pf一(yi)浮子部(bu)件的密(mi)度:7900Kg/m3
ρo一20C時(shi)水的密(mi)度:998.2Kg/m3
ρ1-被測(ce)介質的(de)密度:Kg/m3
氣(qi)體的測(ce)量和換(huan)算.
  流量(liang)計用于(yu)氣體流(liu)量測量(liang)時制造(zao)廠是用(yong)空氣校(xiao)準的(20℃、101.325kPa)若(ruo)被測💚氣(qi)體的參(can)數和工(gong)作狀态(tai)與制造(zao)廠規☔定(ding)的.不同(tong)時,流量(liang)計☁️示值(zhi)讀數進(jin)行修正(zheng)。
  從公式(shi)()中可以(yi)看出由(you)于各種(zhong)氣體的(de)密度與(yu)浮子密(mi)度相比(bi)可以忽(hu)略不計(ji),公式(6)變(bian)爲:

  這裏(li)所表示(shi)的是工(gong)作狀态(tai)下的流(liu)量和密(mi)度,爲方(fang)便🔴應🔆将(jiang)單💃位統(tong)一到标(biao)準狀态(tai)用公式(shi)()和()将其(qi)轉化成(cheng)和(标準(zhun)狀态🔴)。因(yin)此選表(biao)時應根(gen)據前述(shu)對被測(ce)介質的(de)流✔️量用(yong)下列公(gong)式進行(hang)換算:(公(gong)式中和(he)前面的(de)含義不(bu)一樣)

式(shi)中:Ql一被(bei)測氣體(ti)工作狀(zhuang)況下的(de)流量換(huan)算到标(biao)準狀态(tai)下的流(liu)量(Nm3/h)
Q0一換(huan)算成标(biao)準狀态(tai)下空氣(qi)的流量(liang)(Nm3/h)
ρ1一标準(zhun)狀态下(xia)被測氣(qi)體的密(mi)度(Kg/m3)
ρ0一标(biao)準狀态(tai)下空氣(qi)的密度(du):(1.205Kg/m3).
P1一被測(ce)氣體工(gong)作狀況(kuang)下的絕(jue)對壓力(li)有導磁(ci)顆粒時(shi),應在流(liu)量計的(de)上遊安(an)裝過濾(lü)器或磁(ci)過濾器(qi)。
8、流量計(ji)的指示(shi)器和指(zhi)示轉換(huan)器嚴禁(jin)大于1000高(gao)斯的強(qiang)磁場⁉️接(jie)🤞觸,本型(xing)号流量(liang)計集中(zhong)使用時(shi)他們的(de)間㊙️距不(bu)得小于(yu)0.3米!
三、結(jie)束語
   金(jin)屬管浮(fu)子流量(liang)計作爲(wei)過程控(kong)制儀表(biao),可以适(shi)應高🛀溫(wen)、高壓、強(qiang)腐蝕、劇(ju)毒等多(duo)種苛刻(ke)環境,較(jiao)少的可(ke)🤟動部件(jian)、便于維(wei)護,解決(jue)了生産(chan)中的許(xu)多難題(ti)。金屬管(guan)浮子流(liu)量計㊙️以(yi)其卓越(yue)的性⛱️能(neng)被越來(lai)越多的(de)用戶所(suo)青睐。而(er)熟練掌(zhang)握浮子(zi)流量計(ji)的流🛀量(liang)換算對(dui)正确選(xuan)表和用(yong)表至關(guan)重要。因(yin)此隻有(you)掌握了(le)浮子🍓流(liu)量計的(de)儀表選(xuan)型和正(zheng)确安裝(zhuang),才能正(zheng)确選擇(ze)性能和(he)價格比(bi)較高的(de)類型🌂。

以(yi)上内容(rong)源于網(wang)絡,如有(you)侵權聯(lian)系即删(shan)除!

下篇(pian)文章: 淺(qian)談提高(gao)蒸汽流(liu)量計準(zhun)确度的(de)措施 上(shang)篇文章(zhang) 節流型(xing)流量計(ji)的比較(jiao)選型及(ji)應用
 
江(jiang)蘇省霸展包装机械有限公司是(shi)一家專(zhuan)業提供(gong) 渦街流(liu)量計 渦(wo)輪流量(liang)計 電磁(ci)流量計(ji) 的企業(ye),公司将(jiang)以優質(zhi)的服務(wu)優惠的(de)價格,服(fu)務新老(lao)客戶。
 版(ban)權所有(you):江蘇省(sheng)霸展包装机械有限公司       技術支(zhi)持易品(pin)網絡

·
·
·
··
·