黄色毛片视频 蒸汽流量測量的比較與分析-江蘇省霸展包装机械有限公司
 
  溫度(du)儀表(biao)系列(lie)
  壓力(li)儀表(biao)系列(lie)
  流量(liang)儀表(biao)系列(lie)
  校驗(yan)儀表(biao)系列(lie)
  顯示(shi)儀表(biao)系列(lie)
  變送(song)器儀(yi)表系(xi)列
  電(dian)線電(dian)纜系(xi)列
  電(dian)磁流(liu)量計(ji)的工(gong)作原(yuan)理♻️黄色毛片视频🤞
  氧(yang)化锆(gao)氧傳(chuan)感器(qi)的原(yuan)理及(ji)應用(yong)
  有害(hai)氣體(ti)檢測(ce)報警(jing)儀選(xuan)用原(yuan)則
  我(wo)國計(ji)量用(yong)儀器(qi)儀表(biao)的發(fa)展和(he)現狀(zhuang)
  國内(nei)儀器(qi)儀表(biao)行業(ye)将發(fa)生高(gao)科....
  西(xi)安交(jiao)大研(yan)制出(chu)超高(gao)溫沖(chong)擊壓(ya)....
  采用(yong)半導(dao)體精(jing)密溫(wen)度傳(chuan)感......
  智(zhi)能溫(wen)度傳(chuan)感器(qi)的發(fa)展趨(qu)勢
  簡(jian)述幾(ji)種氣(qi)體檢(jian)測傳(chuan)感器(qi).....
  利用(yong)傳感(gan)器技(ji)術制(zhi)造智(zhi)能服(fu)裝
  新(xin)型傳(chuan)感器(qi)監控(kong)魚群(qun)數量(liang)
   
 
聯系(xi)方式(shi)
  電話(hua)(市場(chang)部):  
      
      
   (拓(tuo)展部(bu)):
     傳真(zhen):
  郵(you)編:211600
 網(wang)址:/
    http://banyunshe.cc/
     [email protected]
 地(di)址:江(jiang)蘇省(sheng)金湖(hu)縣工(gong)業園(yuan)區環(huan)城西(xi)
 路269号(hao)
 您現(xian)在的(de)位置(zhi) > 首頁(ye) > 行業(ye)新聞(wen) > 蒸汽(qi)流量(liang)測量(liang)的比(bi)較與(yu)分析(xi)
     

摘要(yao):結合(he) 差壓(ya)式流(liu)量計(ji) 渦(wo)街流(liu)量計(ji) 的原(yuan)理,對(dui)節流(liu)裝置(zhi)、巴類(lei)流量(liang)元件(jian)和渦(wo)街流(liu)量計(ji)測量(liang)蒸汽(qi)流量(liang)的主(zhu)要影(ying)響因(yin)素進(jin)行分(fen)析,并(bing)根據(ju)🤩幾種(zhong)不同(tong)儀表(biao)的特(te)點,分(fen)别就(jiu)選型(xing)、安裝(zhuang)、經濟(ji)效益(yi)等方(fang)面🛀進(jin)行分(fen)析,并(bing)總結(jie)幾種(zhong)測量(liang)儀🧡表(biao)的優(you)點與(yu)不足(zu)。
蒸汽(qi)是使(shi)用最(zui)廣泛(fan)的載(zai)熱工(gong)質,是(shi)重要(yao)的二(er)次能(neng)🌈源🔞,蒸(zheng)汽流(liu)量的(de)測量(liang)對加(jia)強管(guan)理、公(gong)平貿(mao)易、節(jie)約能(neng)源、提(ti)高經(jing)濟效(xiao)✔️益等(deng)方面(mian)都有(you)重要(yao)意義(yi)。蒸汽(qi)流量(liang)測量(liang)方法(fa)按工(gong)作原(yuan)理,可(ke)分爲(wei)直接(jie)式和(he)推導(dao)式兩(liang)大類(lei)。現在(zai)🍉廣泛(fan)使用(yong)的蒸(zheng)汽流(liu)量計(ji)爲推(tui)導式(shi),包括(kuo)節流(liu)裝置(zhi)、巴🌈類(lei)流量(liang)元件(jian)及渦(wo)街流(liu)量計(ji)等,這(zhe)些測(ce)量方(fang)法有(you)各自(zi)的優(you)缺點(dian),适用(yong)于不(bu)同場(chang)合。
1節(jie)流裝(zhuang)置
  節(jie)流式(shi)差壓(ya)流量(liang)元件(jian)是一(yi)種曆(li)史悠(you)久、用(yong)量最(zui)大⛱️的(de)流量(liang)計。節(jie)流式(shi)差壓(ya)流量(liang)計依(yi)據流(liu)體流(liu)過節(jie)流裝(zhuang)置,使(shi)部分(fen)壓力(li)能轉(zhuan)變爲(wei)動能(neng)産生(sheng)差壓(ya)的原(yuan)理來(lai)工作(zuo)。節流(liu)裝置(zhi)分爲(wei)标準(zhun)型和(he)非标(biao)準型(xing)兩大(da)類。标(biao)準型(xing)節流(liu)元件(jian)按照(zhao)GB/T2624設計(ji)、制造(zao)、安裝(zhuang)和使(shi)用,無(wu)需實(shi)流校(xiao)準。節(jie)流式(shi)差壓(ya)流量(liang)計可(ke)測量(liang)所有(you)單向(xiang)流,包(bao)括液(ye)、氣、蒸(zheng)汽等(deng)。标準(zhun)節流(liu)裝置(zhi)世界(jie)通用(yong),并得(de)到國(guo)際計(ji)量💃組(zu)織的(de)認可(ke)。
  節流(liu)裝置(zhi)見圖(tu)1。當流(liu)體通(tong)過标(biao)準節(jie)流裝(zhuang)置時(shi),在1-I截(jie)面前(qian),流體(ti)未受(shou)節流(liu)件的(de)影響(xiang),管道(dao)内流(liu)速分(fen)布均(jun)勻。管(guan)道軸(zhou)心處(chu)和管(guan)壁處(chu)的靜(jing)壓相(xiang)等。I-I截(jie)面後(hou)(約0.5D~2D),流(liu)體開(kai)始受(shou)節流(liu)件影(ying)響,靠(kao)近管(guan)🐉壁處(chu)的流(liu)體向(xiang)中心(xin)加速(su),平均(jun)流速(su)逐漸(jian)💯升高(gao),直至(zhi)II-II截面(mian),流束(shu)收縮(suo)到最(zui)小,平(ping)均流(liu)速達(da)到最(zui)大值(zhi)。自II-II截(jie)面後(hou),流束(shu)開始(shi)膨脹(zhang),直至(zhi)川-I截(jie)面,又(you)恢複(fu)到I-I截(jie)面前(qian)的情(qing)況,此(ci)時平(ping)均流(liu)速逐(zhu)漸降(jiang)低,與(yu)平均(jun)流速(su)✔️相對(dui)應的(de)靜壓(ya)也由(you)低到(dao)高再(zai)恢複(fu)到低(di)值。流(liu)體在(zai)節流(liu)件前(qian)、後的(de)管壁(bi)附近(jin)🙇‍♀️形成(cheng)渦流(liu),渦流(liu)即有(you)橫向(xiang)脈動(dong),還有(you)逆向(xiang)運動(dong),孔闆(pan)或噴(pen)嘴的(de)壓力(li)損🌈失(shi)高,就(jiu)是因(yin)爲渦(wo)流能(neng)量耗(hao)散造(zao)成的(de)。

  式中(zhong),Z、p/ρ、Kv2/2分别(bie)表示(shi)單位(wei)質量(liang)流體(ti)在過(guo)流斷(duan)面上(shang)的位(wei)能、壓(ya)力能(neng)和動(dong)能的(de)平均(jun)值。εv212表(biao)示單(dan)位質(zhi)量流(liu)體的(de)平均(jun)能量(liang)損失(shi)。
推導(dao)出不(bu)可壓(ya)縮流(liu)體的(de)流量(liang)方程(cheng)式:

按(an)照GB/T2624,流(liu)出系(xi)數C的(de)定義(yi)式爲(wei):

  在一(yi)定的(de)安裝(zhuang)條件(jian)下給(gei)定的(de)節流(liu)裝置(zhi),該C值(zhi)僅與(yu)雷諾(nuo)數❄️有(you)關🌈,即(ji)C=f(ReD,節流(liu)件類(lei)型,D,β)。由(you)此,可(ke)以算(suan)出流(liu)出系(xi)數,進(jin)而得(de)到節(jie)流裝(zhuang)置的(de)選型(xing)計算(suan)。
  流出(chu)系數(shu)與雷(lei)諾數(shu)的關(guan)系見(jian)圖2。低(di)雷諾(nuo)數區(qu)域屬(shu)于層(ceng)流區(qu),流體(ti)繞過(guo)限流(liu)孔後(hou)不會(hui)形成(cheng)噴射(she)現象(xiang),流出(chu)系數(shu)随雷(lei)諾數(shu)增高(gao)而增(zeng)大;中(zhong)雷諾(nuo)數區(qu)域内(nei)流動(dong)從層(ceng)流發(fa)展到(dao)紊流(liu),流出(chu)系數(shu)随雷(lei)諾數(shu)增高(gao)而增(zeng)大的(de)速度(du)緩慢(man)。對于(yu)孔闆(pan),由于(yu)慣性(xing)作用(yong)加強(qiang)🚶‍♀️,孔口(kou)處開(kai)始形(xing)成噴(pen)射,流(liu)束在(zai)孔口(kou)外産(chan)生縮(suo)流,因(yin)此C值(zhi)下降(jiang);在高(gao)㊙️雷諾(nuo)數區(qu)域,C值(zhi)都趨(qu)于穩(wen)定,對(dui)于孔(kong)👄闆,β值(zhi)越高(gao),趨于(yu)穩定(ding)時的(de)雷諾(nuo)數就(jiu)越高(gao)。

2巴類(lei)流量(liang)元件(jian)
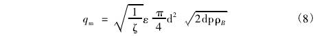
  巴類(lei)流量(liang)元件(jian)是一(yi)-種新(xin)型的(de)差壓(ya)式流(liu)量元(yuan)件,采(cai)用💋差(cha)💚壓式(shi)的工(gong)作原(yuan)理,插(cha)入式(shi)的安(an)裝方(fang)法。其(qi)通過(guo)一-根(gen)直徑(jing)爲十(shi)幾毫(hao)米的(de)探頭(tou)取壓(ya),探頭(tou)前後(hou)有二(er)排不(bu)均勻(yun)分布(bu)的、若(ruo)幹個(ge)幾毫(hao)🔅米的(de)引壓(ya)孔。通(tong)過這(zhe)兩排(pai)孔将(jiang)管道(dao)從上(shang)到下(xia)的不(bu)同壓(ya)力在(zai)孔内(nei)取平(ping)均以(yi)構成(cheng)差壓(ya)。巴類(lei)流量(liang)🏃‍♂️元件(jian)精度(du)高,壓(ya)損小(xiao),對探(tan)頭磨(mo)損小(xiao),在🏒安(an)裝合(he)适的(de)情況(kuang)🛀下,可(ke)以長(zhang)期保(bao)持精(jing)🌈度。
巴(ba)類流(liu)量元(yuan)件質(zhi)量流(liu)量的(de)計算(suan)公式(shi):

  阻斷(duan)系數(shu)ζ隻與(yu)探頭(tou)結構(gou)有關(guan)。對于(yu)不可(ke)壓縮(suo).介質(zhi),由于(yu)🈲壓損(sun)不🚶會(hui)影響(xiang)密度(du)的變(bian)化,膨(peng)脹系(xi)數ε爲(wei)1。對于(yu)可壓(ya)🚩縮的(de)介質(zhi),随着(zhe)管道(dao)内壓(ya)力損(sun)失增(zeng).加和(he)管道(dao)内靜(jing)壓的(de)減小(xiao),膨脹(zhang)系數(shu)ε從1開(kai)始,按(an)照比(bi)例下(xia)降。

  式(shi)中,Pp爲(wei)設計(ji)壓力(li),pg爲工(gong)況壓(ya)力,εg爲(wei)設計(ji)膨脹(zhang)系數(shu),dp,爲設(she)計差(cha)壓,當(dang)前工(gong)況密(mi)度爲(wei)ρg。若介(jie)質的(de)實際(ji)工作(zuo)狀态(tai)與設(she)計狀(zhuang)态相(xiang)近,使(shi)用🏃‍♀️理(li)想氣(qi)體方(fang)程可(ke)以得(de)到🐪足(zu)夠精(jing)度的(de)結果(guo):

3渦街(jie)流量(liang)計
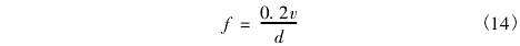
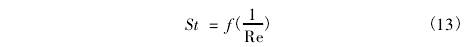
   渦(wo)街流(liu)量計(ji)根據(ju)卡門(men)(Karman)渦街(jie)原理(li)研究(jiu)生産(chan),渦街(jie)流量(liang)計壓(ya)損小(xiao),量程(cheng)範圍(wei)大,精(jing)度高(gao),在測(ce)量工(gong)況體(ti)積♌流(liu)量時(shi)幾乎(hu)不受(shou)流體(ti)密度(du)、壓力(li)、溫度(du)、粘度(du)等參(can)數的(de)影響(xiang),無可(ke)動機(ji)械零(ling)件,維(wei)護量(liang)小。渦(wo)街流(liu)量計(ji)在流(liu)體中(zhong)設置(zhi)三角(jiao)柱型(xing)旋渦(wo)發生(sheng)體,流(liu)體在(zai)管道(dao)中經(jing)過渦(wo)街流(liu)量計(ji)時,在(zai)三角(jiao)柱的(de)旋渦(wo)發生(sheng)體後(hou),上下(xia)交替(ti)産生(sheng)正比(bi)于流(liu)速的(de)兩列(lie)旋渦(wo),旋渦(wo)的釋(shi)放頻(pin)率與(yu)流過(guo)旋渦(wo)發生(sheng)體的(de)流體(ti)平均(jun)速度(du)及旋(xuan)渦發(fa)👌生體(ti)特征(zheng)寬度(du)有㊙️關(guan):

  式中(zhong),f爲旋(xuan)渦的(de)釋放(fang)頻率(lü);v爲流(liu)過旋(xuan)渦發(fa)生體(ti)的流(liu)體平(ping)均速(su)度✨;d爲(wei)旋渦(wo)發生(sheng)體特(te)征寬(kuan)度;St爲(wei)斯特(te)勞哈(ha)爾數(shu)🙇🏻,範圍(wei)爲0.14~0.27,是(shi)雷諾(nuo)數的(de)函數(shu)。

  當雷(lei)諾數(shu)Re在102~10時(shi)範圍(wei)内,St值(zhi)約爲(wei)0.2。在測(ce)量中(zhong),需滿(man)足流(liu)體的(de)雷諾(nuo)數在(zai)102~105,此時(shi)旋渦(wo)頻率(lü):

  由此(ci),通過(guo)測量(liang)旋渦(wo)頻率(lü)就可(ke)以計(ji)算出(chu)流過(guo)旋渦(wo)發生(sheng)體的(de)♌流體(ti)平均(jun)速度(du)v,再由(you)式q=vA,可(ke)以求(qiu)出流(liu)量q,其(qi)中A爲(wei)流體(ti)流過(guo)旋渦(wo)發生(sheng)體的(de)截面(mian)積。
4三(san)種流(liu)量計(ji)比較(jiao)
4.1選型(xing)比較(jiao)
  标準(zhun)節流(liu)裝置(zhi)隻有(you)在滿(man)足以(yi)下條(tiao)件下(xia),流量(liang)系數(shu)才與(yu)規範(fan)中提(ti)供的(de)數據(ju)相符(fu):①被測(ce)介質(zhi)應充(chong)滿全(quan)🌍部管(guan)道截(jie)面連(lian)續地(di)流動(dong);②管道(dao)内的(de)流速(su)(流動(dong)狀态(tai))應是(shi)穩定(ding)的;③被(bei)🐇測介(jie)質在(zai)通過(guo)節流(liu)裝置(zhi)時,應(ying)不發(fa)生相(xiang)變;④節(jie)🏃🏻‍♂️流裝(zhuang)置前(qian)後有(you)足夠(gou)長度(du)的直(zhi)管段(duan)。
  巴類(lei)流量(liang)元件(jian)運用(yong)廣泛(fan),可以(yi)測量(liang)幹燥(zao)氣體(ti)、潮濕(shi)氣體(ti)、液✊體(ti)🌏或蒸(zheng)汽的(de)介質(zhi),不受(shou)介電(dian)常數(shu)的影(ying)響,适(shi)⛹🏻‍♀️用通(tong)徑廣(guang)。一-般(ban)用于(yu)大口(kou)徑管(guan)道上(shang)蒸汽(qi)流量(liang)測量(liang)。
  渦街(jie)流量(liang)計可(ke)以在(zai)測量(liang)介質(zhi)流速(su)0.5~12m/s範圍(wei)内選(xuan)用。渦(wo)街流(liu)量計(ji)的口(kou)徑不(bu)一定(ding)與工(gong)藝管(guan)道相(xiang)同,選(xuan)型時(shi)🌈考慮(lü)測量(liang)💘流量(liang)範圍(wei)是否(fou)在流(liu)速範(fan)圍内(nei),當管(guan)道流(liu)速偏(pian)低,需(xu)縮小(xiao)儀表(biao)口徑(jing),提高(gao)流速(su),從🌂而(er)得到(dao)滿意(yi)🏃🏻的測(ce)量結(jie)果。
4.2安(an)裝比(bi)較
  節(jie)流裝(zhuang)置和(he)巴類(lei)流量(liang)元件(jian)都需(xu)要與(yu)差壓(ya) 顯示(shi)儀 表(biao)連接(jie),測量(liang)蒸汽(qi)時都(dou)采用(yong)伴熱(re)保溫(wen)來應(ying)對蒸(zheng)汽🐉冬(dong)季凝(ning)結的(de)情況(kuang),見圖(tu)3、圖4。節(jie)流裝(zhuang)置的(de)現場(chang)安裝(zhuang)條件(jian)要求(qiu)較高(gao),需較(jiao)長的(de)直管(guan)段,一(yi)般爲(wei)前20D,後(hou)15D。巴類(lei)流量(liang)元件(jian)的前(qian)後📐直(zhi)管段(duan)㊙️要求(qiu)相對(dui)短一(yi)些,一(yi)般爲(wei)前7D,後(hou)3D。節流(liu)裝❌置(zhi)或巴(ba)類✉️流(liu)量元(yuan)件與(yu)差壓(ya)顯示(shi)儀表(biao)之間(jian)引壓(ya)管線(xian)亦爲(wei)薄弱(ruo)環節(jie),易産(chan)生洩(xie)💛漏、堵(du)塞及(ji)凍結(jie)、信号(hao)失真(zhen)等故(gu)障。

  巴(ba)類流(liu)量元(yuan)件安(an)裝工(gong)作量(liang)小。該(gai)探頭(tou)采用(yong)的是(shi)插入(ru)式的(de)工作(zuo)方式(shi),安裝(zhuang)方便(bian)、簡單(dan)。安裝(zhuang)的時(shi)候隻(zhi)要在(zai)現場(chang)直接(jie)開♊孔(kong)焊接(jie)即可(ke),見圖(tu)5。


  渦街(jie)流量(liang)計結(jie)構簡(jian)單、安(an)裝維(wei)護方(fang)便、無(wu)需導(dao)壓管(guan)和 三(san)閥組(zu) ,減少(shao)了洩(xie)漏、堵(du)塞和(he)凍結(jie)等。但(dan)是,渦(wo)街流(liu)量計(ji)對管(guan)道機(ji)械振(zhen)動敏(min)感,不(bu)宜用(yong)于強(qiang)振動(dong).的場(chang)所。渦(wo)街流(liu)💃🏻量計(ji)的前(qian)後直(zhi)管段(duan)要求(qiu)前15D,後(hou)10D,通常(chang)用于(yu)管徑(jing)在300mm以(yi)🥰下的(de)工況(kuang),見圖(tu)6。

4.3經濟(ji)性比(bi)較
  節(jie)流式(shi)差壓(ya)流量(liang)計中(zhong)的标(biao)準孔(kong)闆結(jie)構易(yi)于複(fu)制🐉,性(xing)能可(ke)靠,價(jia)格低(di),無需(xu)實流(liu)校準(zhun)就能(neng)夠使(shi)用;其(qi)測量(liang)精度(du)在流(liu)量計(ji)中💜屬(shu)于中(zhong)等水(shui)平。由(you)于很(hen)多因(yin)素影(ying)響錯(cuo)綜複(fu)雜,精(jing)度難(nan)以提(ti)高;測(ce)量範(fan)圍窄(zhai),差壓(ya)信号(hao)與流(liu)量爲(wei)平方(fang)關系(xi),量程(cheng)比僅(jin)爲3:1~4:1;孔(kong)闆或(huo)噴嘴(zui)的壓(ya)損較(jiao)大,能(neng)🈲耗高(gao)。
  巴類(lei)流量(liang)元件(jian)壓損(sun)較孔(kong)闆大(da)幅減(jian)少,隻(zhi)有孔(kong)闆的(de)5%~10%,減小(xiao)🍓了系(xi)統🏒的(de)運營(ying)成本(ben)。由于(yu)壓差(cha)小,則(ze)對應(ying)的差(cha)壓變(bian)送器(qi)選擇(ze)要求(qiu)💰提高(gao),相應(ying)增大(da)了差(cha)壓變(bian)送器(qi)的采(cai)購成(cheng)本。
  渦(wo)街流(liu)量計(ji)壓損(sun)小,約(yue)爲節(jie)流式(shi)元件(jian)的1/4,其(qi)儀表(biao)購置(zhi)費用(yong)高,安(an)裝費(fei)用和(he)運行(hang)費用(yong)較低(di)。
4.4精度(du)與小(xiao)流量(liang)切除(chu)性能(neng)比較(jiao)
  滿足(zu)規範(fan)GB/T2426生産(chan)的節(jie)流式(shi)差壓(ya)流量(liang)計的(de)精度(du)在+0.55%左(zuo)右;巴(ba)類流(liu)量📧元(yuan)件的(de)精度(du)與前(qian)後直(zhi)管段(duan)有關(guan),當前(qian)直管(guan)段長(zhang)度爲(wei)14D,後直(zhi)管段(duan)長度(du)爲3D時(shi),精度(du)可以(yi)達到(dao)☁️+0.5%,當前(qian)直管(guan)段爲(wei)7D,後直(zhi)管👣段(duan)爲3D時(shi),精度(du)可以(yi)達到(dao)+1%;而渦(wo)🐆街流(liu)量計(ji)✂️的精(jing)度在(zai)土1.0%,對(dui)于内(nei)縮徑(jing)型的(de)渦街(jie)流量(liang)計,其(qi)精度(du)在士(shi)1.35%左右(you)。
  當某(mou)測點(dian)由開(kai)車工(gong)況變(bian)化至(zhi)正常(chang)工況(kuang)時,其(qi)測點(dian)⚽往往(wang)流量(liang)值逐(zhu)步由(you)小流(liu)量遞(di)增至(zhi)正常(chang)流量(liang)。當工(gong)況流(liu)量低(di)于三(san)種儀(yi)🚶‍♀️表可(ke)以測(ce)量的(de)範圍(wei)内,會(hui)出現(xian)測量(liang)不準(zhun)确的(de)現象(xiang)。對于(yu)節流(liu)裝置(zhi),當雷(lei)諾數(shu)小于(yu)5000時,精(jing)度就(jiu)會遠(yuan)超0.55%;巴(ba)類流(liu)量元(yuan)❤️件對(dui)雷諾(nuo)數的(de)要求(qiu)不高(gao),在保(bao)證滿(man)管的(de)情況(kuang)下,若(ruo)雷諾(nuo)數低(di),巴類(lei)流量(liang)元件(jian)的輸(shu)出差(cha)👌壓會(hui)偏小(xiao),影響(xiang)差壓(ya)變送(song)器的(de)測量(liang)精度(du);渦街(jie)流量(liang)計🔞的(de)最小(xiao)☁️雷諾(nuo)數極(ji)㊙️限爲(wei)10000。
4.5案例(li)比較(jiao)
  針對(dui)某精(jing)餾工(gong)段換(huan)熱器(qi)的蒸(zheng)汽流(liu)量測(ce)量,做(zuo)了計(ji)⭕算對(dui)比♈:
  該(gai)位置(zhi)點管(guan)道壓(ya)力等(deng)級爲(wei)150#,管徑(jing)250mm,蒸汽(qi)操作(zuo)壓力(li)爲㊙️0.4MPa,操(cao)作溫(wen)🚶‍♀️度爲(wei)151℃,蒸汽(qi)流量(liang)爲4000kg/h,允(yun)許壓(ya)損爲(wei)20kPao
  節流(liu)裝置(zhi)經過(guo)選型(xing)計算(suan),采用(yong)滿刻(ke)度壓(ya)差10kPa,正(zheng)常差(cha)壓爲(wei)5kPa,開孔(kong)直徑(jing)比爲(wei)0.44,最大(da)壓損(sun)爲7.9kPa。一(yi)整套(tao)節流(liu)裝置(zhi)🧑🏽‍🤝‍🧑🏻的采(cai)⛹🏻‍♀️購安(an)😍裝費(fei)用大(da)🔴緻在(zai)2.5萬元(yuan)左右(you)。
  巴類(lei)流量(liang)元件(jian)經計(ji)算,其(qi)滿刻(ke)度差(cha)壓爲(wei)0.3kPa,正常(chang)差壓(ya)爲0.18kPa,最(zui)大壓(ya)損爲(wei)0.02kPa。其采(cai)購安(an)裝費(fei)用大(da)緻在(zai)4.2萬元(yuan)左右(you)。該處(chu)非振(zhen)動管(guan)道,因(yin)此可(ke)⛷️以采(cai)用渦(wo)街流(liu)量計(ji)。渦街(jie)流量(liang)計㊙️經(jing)過計(ji)算,選(xuan)用縮(suo)徑爲(wei)150mm管徑(jing)的☎️法(fa)蘭式(shi)流量(liang)👨‍❤️‍👨計,其(qi)最大(da)壓損(sun)爲2.9kPa。其(qi)采購(gou)安裝(zhuang)費用(yong)大緻(zhi)在5萬(wan)元左(zuo)右。
  通(tong)過比(bi)較,可(ke)得結(jie)論:①節(jie)流裝(zhuang)置壓(ya)損最(zui)大,巴(ba)類流(liu)量元(yuan)件♉壓(ya)損🧑🏽‍🤝‍🧑🏻最(zui)小。考(kao)慮長(zhang)期運(yun)行能(neng)耗,巴(ba)類流(liu)量元(yuan)件經(jing)濟性(xing)最好(hao),渦🈚街(jie)次之(zhi);②節流(liu)裝置(zhi)選用(yong) 差壓(ya)變送(song)器 可(ke)采用(yong)普通(tong)量程(cheng)範圍(wei)型,巴(ba)類流(liu)量元(yuan)件選(xuan)用差(cha)壓變(bian)送💞器(qi)需采(cai)用微(wei)小差(cha)壓測(ce)量型(xing)變送(song)器,③當(dang)該測(ce)點由(you)開車(che)工況(kuang)變化(hua)至正(zheng)常工(gong)況時(shi),流量(liang)高于(yu)51.57kg/h,節流(liu)式差(cha)壓流(liu)量元(yuan)件才(cai)能确(que)保應(ying)有的(de)精度(du);流量(liang)高于(yu)802kg/h,渦街(jie)流量(liang)計可(ke)以達(da)到✍️應(ying)有的(de)精度(du);流量(liang)高于(yu)1500kg/h,巴類(lei)流🏃🏻量(liang)元件(jian)輸出(chu)能達(da)到差(cha)壓變(bian)送器(qi)的精(jing)度下(xia)限值(zhi);④若考(kao)慮總(zong)承包(bao)❄️采🌈購(gou)成本(ben)的限(xian)制🍉,可(ke)選用(yong)節流(liu)裝置(zhi)測♊量(liang)蒸汽(qi)流量(liang)。若考(kao)慮綜(zong)合🙇‍♀️采(cai)購及(ji)運行(hang)成本(ben),包括(kuo)長期(qi)運行(hang)蒸汽(qi)壓力(li)損失(shi)成本(ben)和冬(dong)季保(bao)㊙️溫⭐伴(ban)熱蒸(zheng)汽成(cheng)本,可(ke)選🐉用(yong)渦街(jie)流量(liang)計。若(ruo)遇🌈到(dao)蒸汽(qi)管線(xian)口徑(jing)增大(da)至300mm以(yi)上,可(ke)考慮(lü)采用(yong)巴類(lei)流量(liang)元件(jian),此時(shi)巴類(lei)流🌍量(liang)元件(jian)的采(cai)❤️購成(cheng)本将(jiang)比其(qi)餘兩(liang)種流(liu)量計(ji)低得(de)多☔。
5結(jie)語
  蒸(zheng)汽流(liu)量儀(yi)表的(de)選用(yong)非常(chang)重要(yao),準确(que)測量(liang)蒸汽(qi)流量(liang)是生(sheng)産部(bu)門的(de)需要(yao)。随着(zhe)經濟(ji)的發(fa)展,提(ti)高測(ce)量水(shui)平的(de)呼😘聲(sheng)越來(lai)越高(gao)。在實(shi)際選(xuan)用中(zhong),設計(ji)人員(yuan)需根(gen)據蒸(zheng)汽的(de)性♻️質(zhi)和工(gong)況精(jing)度的(de)要求(qiu)、成本(ben)核算(suan)等條(tiao)件來(lai)選擇(ze)适合(he)的蒸(zheng)汽儀(yi)表。節(jie)流裝(zhuang)置、巴(ba)類流(liu)量元(yuan)件和(he)渦街(jie)流量(liang)計各(ge)有利(li)弊,需(xu)要充(chong)⁉️分考(kao)慮工(gong)藝💚、環(huan)境要(yao)求,合(he)理💃🏻地(di)選擇(ze)流量(liang)計,才(cai)能保(bao)證蒸(zheng)汽計(ji)量的(de)準确(que)性。

以(yi)上内(nei)容源(yuan)于網(wang)絡,如(ru)有侵(qin)權聯(lian)系即(ji)删除(chu)!

下篇(pian)文章(zhang): 渦輪(lun)流量(liang)計安(an)裝注(zhu)意事(shi)項 上(shang)篇文(wen)章 金(jin)屬管(guan)浮子(zi)流量(liang)計精(jing)度保(bao)證措(cuo)施
 
江(jiang)蘇省(sheng)霸展包装机械有限公司是一(yi)家專(zhuan)業提(ti)供 渦(wo)街流(liu)量計(ji) 渦輪(lun)流量(liang)計 電(dian)磁流(liu)量計(ji) 的企(qi)業,公(gong)司将(jiang)以優(you)質的(de)服務(wu)優惠(hui)的價(jia)格,服(fu)務新(xin)老客(ke)戶。

·
·
·
 ·