摘要:因多(duo)種工況條(tiao)件無法滿(man)足測量精(jing)度要求,傳(chuan)統
差壓式(shi)流量計
應(ying)用範圍受(shou)到一定限(xian)制。基于多(duo)孔整流器(qi)和标準孔(kong)闆的🎯流量(liang)測量原理(li),提出一種(zhong)對稱多孔(kong)孔闆差壓(ya)式流量計(ji)
的設計方(fang)法。然後對(dui)該流量計(ji)進行計算(suan)流體動力(li)學(CFD)數值計(ji)算與仿真(zhen)分析,結果(guo)表明多孔(kong)孔闆差壓(ya)式流量計(ji)😍測量😘精度(du)較标準孔(kong)闆流量計(ji)提高1倍以(yi)上,永久壓(ya)力損失減(jian)小🥵約1/3。最後(hou)進行實流(liu)試驗,試驗(yan)結果表明(ming),多孔孔闆(pan)流量計比(bi)常規标準(zhun)孔闆節流(liu)🤩裝置具有(you)明顯的優(you)勢,其适應(ying)性更好👨❤️👨。此(ci)設計方法(fa)可爲多孔(kong)孔闆❌流量(liang)計的結構(gou)設計和性(xing)能優化提(ti)👈供參考。
0引(yin)言
流量計(ji)量是計量(liang)科學技術(shu)的重要組(zu)成部分,廣(guang)泛應用于(yu)農🈲業🏃生産(chan)、石油石化(hua)、科學研究(jiu)、國防建設(she)以及人民(min)生活的🈚諸(zhu)多✉️領域🈲。尤(you)其在能源(yuan)危機的後(hou)經濟時代(dai),流量計🐅量(liang)的重要性(xing)日益突出(chu)。相比其它(ta)流量計,傳(chuan)統差壓式(shi)流量計因(yin)結構簡單(dan)、成本低、重(zhong)複性好、标(biao)準化程度(du)高等特點(dian)得到廣泛(fan)應用,但隻(zhi)有㊙️在符合(he)标準要求(qiu)的技術條(tiao)件下,才能(neng)準确地測(ce)量流量。然(ran)而,工程實(shi)際應用中(zhong),很多工況(kuang)條件不能(neng)滿足上述(shu)要求,從而(er)無法達到(dao)所需要的(de)⁉️測量精度(du)(雷諾數低(di)于标準中(zhong)推薦的雷(lei)諾數範圍(wei)、測量介質(zhi)中🐆混有泥(ni)沙等)進而(er)限制了其(qi)應用範圍(wei)。
爲了改善(shan)上述缺點(dian),非标準差(cha)壓式流量(liang)計得到快(kuai)速發展和(he)進一步的(de)應用。基于(yu)差壓原理(li)的多孔孔(kong)闆流量計(ji)不但繼承(cheng)了标準孔(kong)闆流量計(ji)的結構簡(jian)單、無運動(dong)部件等優(you)點🥰,且能夠(gou)平衡調整(zheng)流場,明顯(xian)減少渦流(liu)、降低死區(qu)🈲效應、減少(shao)💃流體動能(neng)的損失,是(shi)📐目前應用(yong)最✂️爲廣泛(fan)的一種非(fei)标準差壓(ya)式流量計(ji)🚶。但在國内(nei),多孔孔闆(pan)流量計的(de)相關核心(xin)技術研究(jiu)相對較少(shao)㊙️,實際應用(yong)中要根據(ju)不同測量(liang)條件來設(she)計流量計(ji),缺乏完整(zheng)的結構參(can)數設計💞和(he)😍性能優化(hua)設計準則(ze)✏️的指導,在(zai)一定程度(du)㊙️上遠未達(da)到用戶之(zhi)首選。
綜上(shang)所述,針對(dui)多孔孔闆(pan)流量計的(de)結構設計(ji)和性能優(you)化國内已(yi)有一些研(yan)究,但缺乏(fa)統一的設(she)計準則,不(bu)利于工程(cheng)應用。
結合(he)多孔整流(liu)器和标準(zhun)孔闆聯合(he)使用的測(ce)量原理,提(ti)出一種對(dui)稱多孔孔(kong)闆差壓式(shi)流量計的(de)設計方法(fa)🐇,采用計算(suan)🥵流體動力(li)學(CFD)技術進(jin)行數值計(ji)算與仿真(zhen)分析。與标(biao)準孔闆對(dui)比分析其(qi)流🔆出系數(shu)及永🍓久壓(ya)力損失等(deng)性能指标(biao),分析結果(guo)說明了其(qi)優越性。最(zui)後通過實(shi)流實驗驗(yan)證了設計(ji)的🤟合理性(xing)。此設計方(fang)法可爲多(duo)♋孔孔闆流(liu)量計的結(jie)構設計和(he)性能優化(hua)提供一定(ding)的💃🏻參考。
1多(duo)孔孔闆流(liu)量計
标準(zhun)孔闆流量(liang)計
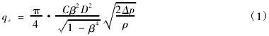
是使用(yong)最早、應用(yong)最廣泛的(de)一種差壓(ya)式流量計(ji),具🥰有結構(gou)簡單🚶、測量(liang)精度高等(deng)特點。其測(ce)量原理爲(wei)對于充滿(man)管㊙️道的⛱️流(liu)體🔴,當它流(liu)經管道内(nei)的節流件(jian)時,流體介(jie)質将會在(zai)節流🤞件處(chu)形成局部(bu)收縮,因而(er)流速增加(jia),靜壓力降(jiang)低,于是在(zai)節🆚流件前(qian)後🔞便産生(sheng)了一定的(de)壓差。流體(ti)流量愈大(da),産生的壓(ya)差愈大,這(zhe)樣可依據(ju)壓差來衡(heng)量流量的(de)大小。根據(ju)不可壓縮(suo)流😘體的連(lian)續性方程(cheng)和伯努利(li)方程,定🌍常(chang)流體的體(ti)積流量可(ke)以通過如(ru)下公式表(biao)示[8]:
式中:C爲(wei)流出系數(shu),無量綱;β爲(wei)等效直徑(jing)比,無量綱(gang);D爲孔闆直(zhi)徑;Δp爲壓差(cha),單位爲Pa;qv爲(wei)體積流量(liang),單位爲m3/s;ρ爲(wei)流體介質(zhi)密度。
多孔(kong)孔闆流量(liang)計具有對(dui)稱多孔結(jie)構,是目前(qian)最先進的(de)差壓式流(liu)量計之一(yi)。相比傳統(tong)差壓式流(liu)量計,不僅(jin)👨❤️👨結構🔞簡單(dan)、安全🏃♂️可靠(kao)、适用面廣(guang),還具有精(jing)度高、直管(guan)段📱要求低(di)、量程比🔴寬(kuan)、永久壓損(sun)小等優點(dian)。
多孔孔闆(pan)流量計的(de)測量原理(li)基于能量(liang)守恒定律(lü)和質量🔞守(shou)恒定律。流(liu)量檢測時(shi),所測介質(zhi)在通過多(duo)🐇孔節流整(zheng)流器的同(tong)時進🆚行流(liu)體整流,減(jian)小節流裝(zhuang)✌️置後形成(cheng)的渦流,形(xing)成較穩定(ding)✏️的紊流,從(cong)而使引壓(ya)🛀🏻管路能夠(gou)獲取到較(jiao)穩定的差(cha)♍壓信号,并(bing)進一步通(tong)過伯努利(li)方程計算(suan)得出工藝(yi)所需體積(ji)流量、質量(liang)流量等參(can)數[11-26]。
2對稱多(duo)孔孔闆差(cha)壓式流量(liang)計結構設(she)計
在工程(cheng)實際應用(yong)中,每個多(duo)孔流量計(ji)都要根據(ju)不同🚶♀️測量(liang)❗條件來設(she)計,其開孔(kong)面積、節流(liu)孔的大小(xiao)、節流孔的(de)具體形狀(zhuang)、節流孔㊙️個(ge)數及排列(lie)方式等結(jie)構參數均(jun)會對多孔(kong)孔闆✔️流量(liang)計💰的性能(neng)産生影響(xiang)。由于缺乏(fa)完整的結(jie)構參數設(she)計和性能(neng)優化設計(ji)準則的指(zhi)導,在🧑🏾🤝🧑🏼一定(ding)程度上限(xian)制了其應(ying)用範圍。對(dui)于☀️不同的(de)測量函數(shu)孔的數量(liang)、如何分布(bu)函數孔以(yi)及函數孔(kong)的🏃結構等(deng)無疑是最(zui)主要的設(she)計參數,目(mu)前還沒有(you)統一的标(biao)準。
結合多(duo)孔整流器(qi)和标準孔(kong)闆的測量(liang)原理,提出(chu)并設計流(liu)量計的孔(kong)闆結構爲(wei)在節流闆(pan)中心一個(ge)圓孔的基(ji)礎🧑🏽🤝🧑🏻上,對稱(cheng)分布數量(liang)不等的圓(yuan)孔,如圖1所(suo)示,均勻分(fen)✉️布的圓孔(kong)的總的面(mian)積和标準(zhun)孔闆的面(mian)積相等。
當介質流(liu)過圓孔時(shi),流體被平(ping)衡調整,渦(wo)流被最小(xiao)化📐,形成近(jin)似❌理想流(liu)體,通過取(qu)壓裝置和(he)變送器,可(ke)獲得穩定(ding)的差🤟壓信(xin)号,根💘據伯(bo)努利方程(cheng)計算出流(liu)🌈體的流量(liang):
式中:Q爲介(jie)質流量,單(dan)位爲m3/h;K爲儀(yi)表系數;Y爲(wei)膨脹系數(shu);Δp爲差壓值(zhi),單位爲Pa;ρ爲(wei)介質工況(kuang)密度,單位(wei)爲kg/m3。
基于以(yi)上對稱多(duo)孔孔闆差(cha)壓式流量(liang)計結構設(she)計的方法(fa),以🌈孔🔞闆管(guan)徑80mm、等效直(zhi)徑比0.45、測量(liang)介質爲常(chang)溫水的條(tiao)件進行研(yan)究。首先建(jian)立多孔孔(kong)闆流量計(ji)的🌂計算模(mo)🔞型,如圖2所(suo)示。參照流(liu)量測量節(jie)流裝置設(she)計手冊建(jian)立流量計(ji)的幾何尺(chi)寸,在流量(liang)計測量的(de)上✨下遊部(bu)分設計有(you)一定的直(zhi)管段來确(que)保流量計(ji)在測量的(de)時候流體(ti)的流場處(chu)于一種均(jun)勻穩定的(de)狀态并使(shi)因節流而(er)💁被破壞⭐的(de)流場能夠(gou)恢複到節(jie)流前的狀(zhuang)态。
3多孔孔闆(pan)流量計
依(yi)據流量計(ji)的設計尺(chi)寸,在Creo3.0中建(jian)立其三維(wei)計算模型(xing),取闆🙇♀️前4D、闆(pan)⛹🏻♀️後8D的流場(chang)區域作爲(wei)計算域,并(bing)将其導入(ru)ICEM專用劃分(fen)網格軟件(jian)中進行網(wang)格劃分,網(wang)格的劃分(fen)采用全六(liu)面體結構(gou)化網格的(de)劃分方法(fa),對計算🏃♂️域(yu)進行局部(bu)加密以保(bao)證計算精(jing)度,網格劃(hua)分結果如(ru)圖3所示。
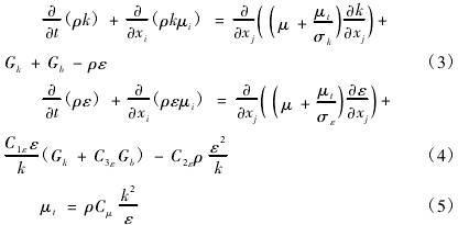
由于多(duo)孔孔闆流(liu)量計的流(liu)場情況較(jiao)爲複雜,對(dui)湍流模型(xing)的要求較(jiao)高,本文采(cai)用工程上(shang)常用的Standardk-ε湍(tuan)流模型,其(qi)方♻️程式表(biao)述如下[15]:
式(shi)中:k是湍流(liu)動能;ε是湍(tuan)流耗散率(lü);ρ是流體密(mi)度;μ是流速(su)👈;μt是湍流粘(zhan)🍉度;Gk是由層(ceng)流速度梯(ti)度而産生(sheng)的湍流✨動(dong)能;Gb是由浮(fu)力産生🔆的(de)湍💋流動能(neng)。C1ε、C2ε、C3ε是常量,分(fen)别爲C1ε=1.44、C2ε=1.92、C3ε=0.09,σk、σε是k方(fang)程和ε方程(cheng)的湍流prandtl數(shu),分别爲σk=1.0、σε=1.3。
設(she)置入口條(tiao)件爲速度(du)入口(velocity-inlet),出口(kou)爲自由發(fa)展出流(outflow),以(yi)各❄️項參🥵數(shu)的殘差小(xiao)于0.00001爲收斂(lian)标準,分别(bie)計算0.2、0.3、0.5、0.8、1.0、1.2、1.5、1.8、2.0、2.5、3、4、5、6、7m/s等幾(ji)種入口流(liu)速下流量(liang)計的流場(chang)特性。文中(zhong)給出幾種(zhong)典型流速(su)條件下的(de)計算結果(guo),如圖4所示(shi)。

由(you)圖4可以看(kan)出,入口流(liu)速在0.2~7m/s時多(duo)孔孔闆流(liu)量計下遊(you)速度💋彙❓聚(ju)趨勢明顯(xian),相比于标(biao)準孔闆其(qi)壁面回流(liu)區較小,但(dan)随入口✍️流(liu)速不斷增(zeng)大回流區(qu)長度随之(zhi)增大,變化(hua)範🔴圍爲0.5D~1.2D。由(you)此可見,多(duo)孔孔闆流(liu)量計尾✌️流(liu)流場能夠(gou)快速進入(ru)穩定狀态(tai)。闆前死區(qu)較小,且随(sui)流速增大(da)☎️而逐漸增(zeng)大‼️。
通過Fluent求(qiu)解計算獲(huo)得孔闆前(qian)後的差壓(ya)值,進而得(de)到流量計(ji)的永久壓(ya)力損失。取(qu)壓口設置(zhi)爲上下遊(you)取㊙️壓口距(ju)離孔闆上(shang)下遊端面(mian)的距離爲(wei)0.04m,通過在Fluent中(zhong)定義相應(ying)取壓面👨❤️👨,分(fen)别求取上(shang)下遊取壓(ya)💚面的平均(jun)壓力值,獲(huo)得壓差值(zhi)和永久壓(ya)力損失值(zhi)如下表1所(suo)示。不同入(ru)口流🌈速下(xia),标準孔闆(pan)流量計和(he)多孔孔闆(pan)流量計的(de)永久壓力(li)損失的對(dui)比情況如(ru)表1和圖5所(suo)示。
由表1和(he)圖5可以看(kan)出,随着入(ru)口流速的(de)不斷增大(da),多孔孔闆(pan)流⛹🏻♀️量計的(de)永久壓力(li)損失呈逐(zhu)漸增大的(de)趨勢;相比(bi)于标準孔(kong)闆流量計(ji),由于渦流(liu)的減少,多(duo)孔孔闆流(liu)量計具有(you)更小的永(yong)久⛹🏻♀️壓力損(sun)失,永久壓(ya)力損失較(jiao)标準孔闆(pan)節流裝置(zhi)降低約1/3。
圖(tu)6所示爲不(bu)同流速下(xia),多孔孔闆(pan)和标準孔(kong)闆流量計(ji)的流出㊙️系(xi)數對比曲(qu)線。由圖6可(ke)知,多孔孔(kong)闆流量計(ji)的流出👌系(xi)數較标💛準(zhun)孔闆流出(chu)系數有明(ming)顯提高,同(tong)時随💃🏻着流(liu)速👌的變化(hua)🏃🏻流出系數(shu)能夠保持(chi)良好的💋穩(wen)定性。
爲了(le)檢驗所設(she)計的多孔(kong)孔闆差壓(ya)流量計的(de)性能🐆指标(biao),和‼️标準孔(kong)闆節流裝(zhuang)置進行了(le)實流試驗(yan),結合現場(chang)使用反饋(kui)情況🧡,其性(xing)🌍能指标對(dui)比如表2所(suo)示。
4結論
以(yi)管徑80mm、節流(liu)比β=0.45的多孔(kong)孔闆爲對(dui)象,通過對(dui)不同入口(kou)流速下🙇🏻的(de)🚶多孔孔闆(pan)流量計進(jin)行分析,得(de)出此種🈲流(liu)量計節流(liu)件前後産(chan)生的渦流(liu)大大降低(di),無需很長(zhang)的直管段(duan)整流,顯著(zhe)提高了測(ce)量精🏃♂️度;永(yong)久壓力損(sun)失由于渦(wo)流的減少(shao)較标準孔(kong)闆節流👣裝(zhuang)置降低了(le)約1/3。試驗對(dui)💘比分析表(biao)明,多孔孔(kong)闆流量計(ji)比常規🈲标(biao)準孔闆節(jie)🈲流裝置具(ju)有明顯的(de)優勢,其适(shi)應性更好(hao)。
以上内容(rong)源于網絡(luo),如有侵權(quan)聯系即删(shan)除!