性欧美大片 電磁流量計不同信号輸出差異淺析-江蘇省霸展包装机械有限公司
 
  溫度(du)儀表系(xi)列
  壓力(li)儀表系(xi)列
  流量(liang)儀表系(xi)列
  校驗(yan)儀表系(xi)列
  電(dian)線電纜(lan)系列
 
  電(dian)磁流量(liang)計🤟性欧美大片🌐的工(gong)作原理(li)
  氧化锆(gao)氧傳感(gan)器的原(yuan)理及應(ying)用
  有害(hai)氣體檢(jian)測報警(jing)儀選用(yong)原則
  我(wo)國計量(liang)用儀器(qi)儀表的(de)發展和(he)現狀
  國(guo)内儀器(qi)儀表行(hang)業将發(fa)生高科(ke)....
  西安交(jiao)大研制(zhi)出超高(gao)溫沖擊(ji)壓....
  采用(yong)半導體(ti)精密溫(wen)度傳感(gan)......
  智能溫(wen)度傳感(gan)器的發(fa)展趨勢(shi)
  簡述幾(ji)種氣體(ti)檢測傳(chuan)感器.....
  利(li)用傳感(gan)器技術(shu)制造智(zhi)能服裝(zhuang)
  新型傳(chuan)感器監(jian)控魚群(qun)數量
   
 
  電話(市(shi)場部):  
      
      
   (拓(tuo)展部):
     傳(chuan)真:
  節假(jia)日商務(wu)聯系電(dian)話:
  何經(jing)理:
  劉經(jing)理:
  郵編(bian):211600
 網址:/
    http://banyunshe.cc/
     [email protected]
 地(di)址:江蘇(su)省金湖(hu)縣工業(ye)園區環(huan)城西
 路(lu)269号
 您現(xian)在的位(wei)置 > 首頁(ye) > 行業新(xin)聞 > 電磁(ci)流量計(ji)不同信(xin)号輸出(chu)差異淺(qian)析
     

電磁(ci)流量計(ji)不同信(xin)号輸出(chu)差異淺(qian)析
發布(bu)時間:2025-11-26 08:25:45

摘(zhai)要:電磁(ci)流量計(ji) 測得的(de)流量值(zhi)可通過(guo)不同形(xing)式模拟(ni)信号輸(shu)出,按照(zhao)JJC1033-2007《電磁流(liu)量計》檢(jian)定規程(cheng)、JB/T9248-2015《電磁流(liu)量計》機(ji)械行業(ye)标🔞準對(dui)輸出信(xin)号的相(xiang)關要求(qiu),選取某(mou)同一電(dian)磁流量(liang)計的不(bu)♻️同輸出(chu)信号分(fen)别進行(hang)檢測,并(bing)對檢測(ce)結果進(jin)行分析(xi),以期對(dui)電磁流(liu)量計用(yong)戶實際(ji)使用及(ji)檢測人(ren)員的檢(jian)測時不(bu)同輸㊙️出(chu)信号的(de)選取提(ti)供參考(kao)💋。
0引言
  目(mu)前多數(shu)電磁流(liu)量計都(dou)設計有(you)輸出的(de)電信号(hao)。常用💋的(de)電信号(hao)♌輸出又(you)分爲脈(mo)沖(頻率(lü))輸出和(he)(4~20)mA電流輸(shu)🌈出。這兩(liang)種電信(xin)号輸🚶‍♀️出(chu)己作爲(wei)儀表行(hang)業的基(ji)本規💚定(ding)和要求(qiu)。方便行(hang)業的自(zi)動化生(sheng)産,特别(bie)是在新(xin)建或是(shi)替換配(pei)件的過(guo)程中,以(yi)便接入(ru)控制系(xi)統,從而(er)🌂實現生(sheng)産利益(yi)最大化(hua)。電磁流(liu)量計的(de)傳感器(qi)在測量(liang)導電液(ye)體流動(dong)時産生(sheng)感應電(dian)動勢信(xin)号,轉💃🏻換(huan)器将感(gan)應電動(dong)勢信号(hao)轉換成(cheng)與流量(liang)計流量(liang)值成正(zheng)比的模(mo)拟信号(hao),并輸出(chu)到采集(ji)端。按照(zhao)JB/T9248-2015《電磁流(liu)量計》機(ji)械行業(ye)标準對(dui)電磁流(liu)量計對(dui)模拟輸(shu)出信☀️号(hao)的要求(qiu),流量計(ji)可采用(yong)直流電(dian)流輸出(chu)信号、頻(pin)率輸出(chu)信号、脈(mo)沖輸㊙️出(chu)信号。這(zhe)些信号(hao)應該均(jun)能正确(que)反映😍電(dian)磁流量(liang)計的實(shi)際測量(liang)💁值。通過(guo)長期檢(jian)測工作(zuo)發㊙️現,對(dui)于具🌂有(you)多種信(xin)号輸出(chu)的流量(liang)計,不同(tong)的輸出(chu)❌信号,得(de)出的檢(jian)🙇‍♀️測結果(guo)卻不盡(jin)相同,這(zhe)對電磁(ci)流量計(ji)計量性(xing)能的判(pan)别帶來(lai)争議風(feng)險。
  本文(wen)按照JJG1033-2007《電(dian)磁流量(liang)計》檢定(ding)規程中(zhong)對輸出(chu)信号選(xuan)取🈲的相(xiang)關要求(qiu),選取某(mou)電磁流(liu)量計進(jin)行不同(tong)輸出信(xin)号下的(de)示值誤(wu)差試驗(yan),并對測(ce)量結果(guo)進行分(fen)析,以期(qi)對電磁(ci)流量計(ji)使😘用及(ji)檢測時(shi)輸🌈出信(xin)号的優(you)🏃‍♀️選給出(chu)一✌️點參(can)考。
1電流(liu)、脈沖測(ce)量方法(fa)差異性(xing)試驗方(fang)法
1.1試驗(yan)方法
  本(ben)次試驗(yan)采用靜(jing)态容量(liang)法水流(liu)量标準(zhun)裝置,本(ben)次選用(yong)的儀✏️表(biao)口徑爲(wei)DN100,編号爲(wei)10019251的電磁(ci)流量計(ji)。選取的(de)👄該流量(liang)計很有(you)代表性(xing),該流量(liang)計爲某(mou)客戶固(gu)定每年(nian)送檢的(de)流量🤟計(ji),通過🏃🏻‍♂️對(dui)曆年檢(jian)測記錄(lu)的對比(bi)發現計(ji)量性能(neng)較爲穩(wen)定。本次(ci)實驗對(dui)該流量(liang)計電流(liu)🌈信号及(ji)脈沖信(xin)号進行(hang)對比分(fen)析。在符(fu)合規定(ding)的環境(jing)條件下(xia),按JJG1033-2007《電✊磁(ci)流量計(ji)檢定規(gui)程》,将電(dian)磁流量(liang)計🛀🏻安裝(zhuang)在水流(liu)量标準(zhun)裝置上(shang),使其與(yu)🌈标準裝(zhuang)置的管(guan)道同心(xin)保持--緻(zhi),檢測前(qian)保證電(dian)磁流量(liang)計接地(di)良好🌍,和(he)接線端(duan)子連接(jie)無誤。以(yi)水爲介(jie)質,通水(shui)測試,确(que)認被檢(jian)流量計(ji)和管線(xian)均無🔞洩(xie)露後,調(diao)整被⭐檢(jian)流量計(ji)💛零點,檢(jian)查流量(liang)計的密(mi)封性🏃‍♂️。把(ba)流量調(diao)到最大(da)的流量(liang)值,等待(dai)流量、溫(wen)度和壓(ya)力穩定(ding)後,在相(xiang)同時間(jian)内♉同時(shi)讀取被(bei)檢這一(yi)台流量(liang)計和标(biao)準容器(qi)信号并(bing)記錄,分(fen)别測量(liang)140m'/h、70m3/h、14m3/h三個流(liu)量點,每(mei)個點各(ge)校準3次(ci),取檢🤩測(ce)結果平(ping)均值。
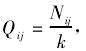
1.2脈(mo)沖信号(hao)檢測測(ce)量模型(xing)

  式中:Nij--第(di)i檢定點(dian)第j次檢(jian)定被檢(jian)流量計(ji)所輸出(chu)的脈沖(chong)🏃‍♀️數;
  k---流量(liang)計k系數(shu),單位體(ti)積的流(liu)體流過(guo)流量計(ji)時流量(liang)🛀🏻計💃🏻發💃🏻出(chu)的脈沖(chong)數,應由(you)流量計(ji)說明書(shu)或銘牌(pai)中獲得(de);若制造(zao)廠有其(qi)他規定(ding),應按流(liu)量計說(shuo)明書規(gui)定♊計算(suan)。

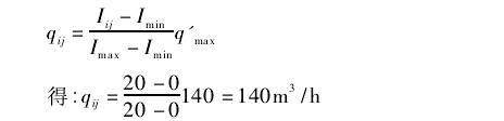
  式中:Iij一(yi)第i檢定(ding)點第j次(ci)檢定時(shi)流量計(ji)輸出信(xin)号的瞬(shun)時值,可(ke)爲--次試(shi)驗過程(cheng)中多次(ci)測得的(de).平均值(zhi);
Imax一流量(liang)計輸出(chu)信号範(fan)圍的.上(shang)限值,該(gai)值應從(cong)流量計(ji)📱說明書(shu)或銘牌(pai)中獲得(de);
Imin一流量(liang)計輸出(chu)信号範(fan)圍的下(xia)限值,該(gai)值應.從(cong)流量計(ji)🐇說明書(shu)或銘牌(pai)中獲得(de);
q′max一流量(liang)計在m輸(shu)出時對(dui)應的流(liu)量,m3/h。
2.電流(liu)、脈沖的(de)檢測值(zhi)試驗結(jie)果(見表(biao)1、表2)


3電流(liu)、脈沖的(de)檢測值(zhi)試驗結(jie)果分析(xi)
  由表3得(de)出,在140m3/h、70m3/h、14m3/h三(san)個流量(liang)點下脈(mo)沖(頻率(lü))輸出和(he)(4~20)mA電流輸(shu)出方式(shi)不✂️同對(dui)流量計(ji)的所體(ti)現的誤(wu)差也不(bu)一樣。可(ke)以看到(dao)此🔅次試(shi)驗電流(liu)信号輸(shu)出要比(bi)脈沖輸(shu)出誤差(cha)㊙️要偏大(da)🐆0.3%以上。

  從(cong)表4得出(chu),此次試(shi)驗(4~20)mA電流(liu)輸出重(zhong)複性大(da)于脈沖(chong)(頻率🏃‍♀️)輸(shu)出重💯複(fu)性,重複(fu)性普遍(bian)偏大0.10%以(yi)上。

  在選(xuan)擇使用(yong)(4~20)mA電流輸(shu)出時,根(gen)據(4~20)mA電流(liu)輸出計(ji)算模型(xing)可以得(de)出Iij值是(shi)非常重(zhong)要的,即(ji)爲第i檢(jian)定點第(di)j次檢定(ding)時流量(liang)計輸出(chu)信号的(de)瞬時值(zhi),即(4~20)mA電流(liu)輸出采(cai)集的是(shi)瞬時流(liu)量對應(ying)的電流(liu)值。瞬時(shi)流量受(shou)采集的(de)時間長(zhang)短、頻次(ci)、流量是(shi)👄否穩定(ding)都會導(dao)緻誤差(cha)和重複(fu)性的偏(pian)大。由表(biao)1可知其(qi)重複性(xing)偏大。
  在(zai)選擇使(shi)用在脈(mo)沖(頻率(lü))輸出時(shi),根據脈(mo)沖(頻率(lü))輸出💘計(ji)算模型(xing)可以得(de)出Nij非常(chang)重要,即(ji)第i檢定(ding)點第j次(ci)檢定被(bei)檢流量(liang)計所輸(shu)出的脈(mo)沖數,即(ji)脈沖(頻(pin)率)輸出(chu)的脈沖(chong)數⭐時是(shi)檢定🌈時(shi)間内的(de)脈沖數(shu)總量。由(you)表2可知(zhi)其重複(fu)性偏小(xiao)。而脈沖(chong).(頻率)輸(shu)出相對(dui)比較穩(wen)定。
  除此(ci)之外,在(zai)實驗過(guo)程中,發(fa)現二者(zhe)的測量(liang)區間的(de)鑒别阈(yu)也不相(xiang)同。
  當滿(man)量程爲(wei)140m3/h時測得(de)的電流(liu)值爲20mA,帶(dai)入(4~20)mA電流(liu)輸出計(ji)算模型(xing):

  由此可(ke)以知道(dao)在檢測(ce)滿量程(cheng)時,已經(jing)達到測(ce)量區間(jian)🌈.上限,無(wu)法作爲(wei)被測量(liang)值檢測(ce)。而在JJG164-2000液(ye)體流量(liang)标準裝(zhuang)置中對(dui)流量穩(wen)定也有(you)測量,用(yong)累積法(fa)檢定基(ji)本在0.2%左(zuo)右,因此(ci)❤️隻能下(xia)調流量(liang)⚽到137m3/h作爲(wei)被測量(liang)值檢測(ce)
根據脈(mo)沖(頻率(lü))輸出計(ji)算模型(xing):

  由此計(ji)算模型(xing)可知,流(liu)量不受(shou)上限限(xian)制,測量(liang)區間的(de)鑒别阈(yu)👄造成的(de)影響可(ke)以忽略(lue)不計。
  由(you)以上可(ke)知,當信(xin)号采集(ji)方法不(bu)同、測量(liang)區間的(de)鑒👄别阈(yu)不同等(deng)原因導(dao)緻使用(yong)或檢測(ce)時電流(liu)與脈沖(chong)兩種信(xin)号輸出(chu)方式出(chu)現不同(tong)的差異(yi)性。
4使用(yong)或檢測(ce)電磁流(liu)量計時(shi),輸出信(xin)号選用(yong)的思考(kao)☔及🛀建議(yi)
  從以上(shang)試驗可(ke)以得出(chu)電磁流(liu)量計的(de)(4~20)mA電流輸(shu)出的重(zhong)複性要(yao)大于脈(mo)沖(頻率(lü))輸出,其(qi)原因受(shou)信号采(cai)集的時(shi)🔞間長短(duan)(阻尼時(shi)間)、頻次(ci)、流量是(shi)否穩定(ding)等因素(su)影響;此(ci)外(4~20)mA電流(liu)輸出受(shou)⛹🏻‍♀️測量區(qu)間.上限(xian)的限制(zhi),而脈沖(chong)(頻率)輸(shu)出在使(shi)用或測(ce)量時🐅不(bu)受此影(ying)響。如何(he)讓🍉企業(ye)使用電(dian)磁流量(liang)計達到(dao)最優效(xiao)果并保(bao)持量值(zhi)傳遞的(de)準确?企(qi)業在選(xuan)擇使用(yong)電磁流(liu)量計信(xin)👄号時❓應(ying)盡量選(xuan)擇脈沖(chong)(頻率).輸(shu)出方式(shi),如果工(gong)藝和現(xian)場📞情👣況(kuang)不允許(xu),則在送(song)🚩檢時應(ying)主動告(gao)知檢測(ce)方使用(yong)何種信(xin)号進行(hang)檢測。
5結(jie)束語
   電(dian)磁流量(liang)計制造(zao)技術日(ri)益成熟(shu),其優異(yi)的測量(liang)能力💚,穩(wen)定的計(ji)量性能(neng)等諸多(duo)優勢,使(shi)電磁流(liu)量計在(zai)越來越(yue)多的場(chang)合發揮(hui)極其重(zhong)要的作(zuo)用。用戶(hu)使用時(shi)也應盡(jin)量使電(dian)磁流量(liang)計發揮(hui)其最大(da)的效能(neng)。企業在(zai)使用電(dian)磁流量(liang)計時應(ying)優🐅先選(xuan)擇脈沖(chong)輸出方(fang)式,檢測(ce)機構也(ye)要以客(ke)戶實際(ji)情況爲(wei)主,根據(ju)其輸🏃🏻‍♂️出(chu)信号方(fang)式⭕的🌏不(bu)同,而采(cai)取不💁同(tong)的信号(hao)檢測🌍方(fang)式,盡量(liang)使檢測(ce)狀态貼(tie)近使用(yong)狀态,使(shi)✔️測試結(jie)果有更(geng)高的代(dai)表意義(yi)。對相關(guan)使用企(qi)業節約(yue)大量的(de)檢測成(cheng)本,對相(xiang)關使用(yong)企業質(zhi)量管理(li)的可靠(kao)性有🤟了(le)大幅提(ti)升,對檢(jian)測人員(yuan)的檢測(ce)時不同(tong)輸出信(xin)号的選(xuan)取提供(gong)參考。

下篇(pian)文章: 節(jie)流型流(liu)量計的(de)比較選(xuan)型及應(ying)用 上篇(pian)文章 渦(wo)街流量(liang)計在管(guan)道振動(dong)下的試(shi)驗
 
江蘇(su)省霸展包装机械有限公司是一(yi)家專業(ye)提供 渦(wo)街流量(liang)計 渦輪(lun)流量計(ji) 電磁流(liu)量計 的(de)企業,公(gong)司将以(yi)優質的(de)服務優(you)惠的價(jia)格,服務(wu)新老客(ke)戶。
 版權(quan)所有:江(jiang)蘇省霸展包装机械有限公司     技(ji)術支持(chi)易品網(wang)絡

·