|
電磁(ci)流量(liang)計在(zai)制冷(leng)系統(tong)中的(de)應用(yong)
|
電磁(ci)流量(liang)計
是(shi)一種(zhong)基于(yu)電磁(ci)感應(ying)定律(lü),根據(ju)導電(dian)流體(ti)通過(guo)外加(jia)磁場(chang)時産(chan)😘生的(de)電動(dong)勢來(lai)測量(liang)導電(dian)流體(ti)流量(liang)的一(yi)種新(xin)型流(liu)量⚽測(ce)量儀(yi)表。測(ce)量時(shi)不受(shou)流體(ti)密度(du)、粘度(du)、電導(dao)率變(bian)化的(de)影響(xiang),感應(ying)電壓(ya)信号(hao)與管(guan)道内(nei)的平(ping)均流(liu)速呈(cheng)線性(xing)相❓關(guan),測量(liang)精度(du)高。正(zheng)是由(you)于這(zhe)種穩(wen)定的(de)計量(liang)特性(xing),電磁(ci)流量(liang)計被(bei)廣泛(fan)應用(yong)于制(zhi)冷領(ling)域各(ge)種焓(han)差實(shi)驗室(shi)、熱泵(beng)實驗(yan)室及(ji)水冷(leng)實驗(yan)室,用(yong)作流(liu)量監(jian)測的(de)儀表(biao)。重點(dian)闡述(shu)了電(dian)磁流(liu)量計(ji)在溴(xiu)化锂(li)制冷(leng)機流(liu)量測(ce)試中(zhong)的應(ying)用及(ji)🔅運行(hang)效果(guo);文獻(xian)[7]提出(chu)利用(yong)電磁(ci)流量(liang)🙇♀️計等(deng)高🌐精(jing)度設(she)備,采(cai)用焓(han)差法(fa)設計(ji)遠程(cheng)監控(kong)移動(dong)式制(zhi)冷設(she)備性(xing)能檢(jian)測儀(yi),解決(jue)使用(yong)現場(chang)🔴對制(zhi)冷空(kong)調機(ji)組性(xing)能校(xiao)驗困(kun)難的(de)問題(ti);則利(li)用電(dian)磁流(liu)量計(ji)等設(she)備設(she)✍️計出(chu)一種(zhong)以STM32F401RE爲(wei)控制(zhi)核心(xin)的能(neng)耗監(jian)測系(xi)統用(yong)以評(ping)估水(shui)源熱(re)泵系(xi)統的(de)節能(neng)狀況(kuang)。
然而(er),流量(liang)作爲(wei)制冷(leng)空調(diao)系統(tong)冷熱(re)量計(ji)量的(de)重要(yao)測💃定(ding)參數(shu),其檢(jian)測相(xiang)比于(yu)溫度(du)、壓力(li)等參(can)數要(yao)複雜(za)得多(duo)。其主(zhu)要原(yuan)因在(zai)于流(liu)量計(ji)在工(gong)作時(shi),溫度(du)、壓力(li)、流速(su)分布(bu)、空管(guan)幹擾(rao)、流😍體(ti)電導(dao)♉率、流(liu)體相(xiang)态以(yi)及磁(ci)場邊(bian)緣效(xiao)應等(deng)諸多(duo)因素(su)均會(hui)對測(ce)量結(jie)果産(chan)生偏(pian)‼️差。因(yin)此,測(ce)量結(jie)果是(shi)否準(zhun)确可(ke)靠,可(ke)信程(cheng)度如(ru)何,是(shi)‼️實驗(yan)室每(mei)位🏒試(shi)驗人(ren)員都(dou)關心(xin)的問(wen)題。測(ce)量不(bu)确定(ding)✍️度是(shi)說明(ming)測量(liang)結果(guo)的不(bu)可确(que)定程(cheng)度和(he)可信(xin)程度(du)的👄參(can)數'。目(mu)前大(da)多電(dian)😘磁流(liu)量計(ji)在計(ji)量特(te)性方(fang)面也(ye)僅标(biao)明儀(yi)表的(de)最大(da)允許(xu)誤差(cha)或其(qi)準确(que)度等(deng)級,而(er)未對(dui)流量(liang)計測(ce)量結(jie)果的(de)不确(que)定度(du)作出(chu)相應(ying)的說(shuo)明,而(er)流量(liang)測量(liang)結果(guo)的表(biao)述⛱️必(bi)須在(zai)表明(ming)被測(ce)量值(zhi)的同(tong)時賦(fu)予該(gai)值相(xiang)關的(de)測量(liang)不确(que)定度(du),才是(shi)完整(zheng)并且(qie)有意(yi)🐆義的(de)。
鑒于(yu)流量(liang)監測(ce)在空(kong)調制(zhi)冷系(xi)統中(zhong)的重(zhong)要性(xing),以JJG1033-2007《電(dian)磁流(liu)💰量計(ji)檢㊙️定(ding)規程(cheng)》和JJF1059-2012《測(ce)量不(bu)确定(ding)度評(ping)定與(yu)表示(shi)》作爲(wei)技術(shu)支撐(cheng)[16],對電(dian)磁流(liu)量計(ji)用水(shui)流量(liang)标準(zhun)裝置(zhi)進行(hang)校🛀🏻準(zhun),建立(li)數學(xue)模型(xing),詳細(xi)闡述(shu)電磁(ci)流量(liang)計示(shi)⛱️值誤(wu)差的(de)不确(que)定度(du)評定(ding)方法(fa),具體(ti)分析(xi)各個(ge)分量(liang)💚引人(ren)的标(biao)準不(bu)确定(ding)度,并(bing)揭示(shi)各分(fen)量在(zai)合成(cheng)标準(zhun)❌不确(que)定度(du)中所(suo)✉️占的(de)比重(zhong)。評定(ding)結果(guo)可供(gong)參考(kao)😄或符(fu)合測(ce)量條(tiao)☔件的(de)予以(yi)直接(jie)應用(yong)。
1概述(shu)
1.1測量(liang)依據(ju).
依據(ju)JJG1033-2007《電磁(ci)流量(liang)計檢(jian)定規(gui)程》。
1.2測(ce)量标(biao)準
測(ce)量标(biao)準及(ji)主要(yao)配套(tao)設備(bei)爲經(jing)相應(ying)法定(ding)計量(liang)檢定(ding)機構(gou)檢定(ding)的DN(65~100)mm水(shui)流量(liang)标準(zhun)裝置(zhi),不确(que)定度(du)爲Urel=0.11%(k=2)。
1.3測(ce)量過(guo)程與(yu)方法(fa).
在環(huan)境溫(wen)度20℃,相(xiang)對濕(shi)度65%,外(wai)界磁(ci)場、機(ji)械振(zhen)動和(he)噪聲(sheng)對流(liu)量計(ji)👣的影(ying)響忽(hu)略不(bu)計的(de)條件(jian)下對(dui)DN80,最大(da)流量(liang)qmax爲100m3/h,精(jing)🥰度等(deng)級爲(wei)0.5級的(de)💋電磁(ci)流量(liang)計進(jin)行測(ce)量。計(ji)算電(dian)磁流(liu)量計(ji)測量(liang)結果(guo)的💛相(xiang)對示(shi)值誤(wu)差,并(bing)評定(ding)測量(liang)🤞結果(guo)的不(bu)💔确定(ding)度。
2數(shu)學模(mo)型
2.1單(dan)次測(ce)量時(shi)的相(xiang)對示(shi)值誤(wu)差
電(dian)磁流(liu)量計(ji)各流(liu)量點(dian)單次(ci)測量(liang)時的(de)相對(dui)示值(zhi)誤差(cha)(即第(di)i個檢(jian)定點(dian)第j次(ci)檢定(ding)的相(xiang)對示(shi)值誤(wu)差Eij,簡(jian)記⭐爲(wei)E)爲:
式(shi)(1)中:E爲(wei)單次(ci)測量(liang)時被(bei)檢流(liu)量計(ji)的相(xiang)對示(shi)值誤(wu)差(%);Q爲(wei)🔱單次(ci)測量(liang)時被(bei)檢流(liu)量計(ji)顯示(shi)的流(liu)量值(zhi)(m3);Qs爲單(dan)次測(ce)量時(shi)标準(zhun)器換(huan)算到(dao)流✨量(liang)計處(chu)狀态(tai)的累(lei)積流(liu)量值(zhi)(m3)。
2.2單次(ci)測量(liang)時标(biao)準器(qi)換算(suan)到流(liu)量計(ji)處狀(zhuang)态的(de)累積(ji)流量(liang)值Q。
式(shi)(2)、式(3)中(zhong):V,爲單(dan)次測(ce)量時(shi)标準(zhun)器測(ce)得的(de)液.體(ti)實際(ji)體積(ji)🥰(m3);β爲測(ce)量用(yong)液體(ti)在測(ce)量狀(zhuang)态下(xia)的體(ti)積膨(peng)脹系(xi)數(℃-1);0,0m分(fen)别爲(wei)單次(ci)測量(liang)時💃标(biao)準器(qi)和流(liu)量計(ji)處的(de)液體(ti)溫度(du)(℃);K爲測(ce)量用(yong)液體(ti)在測(ce)量狀(zhuang)态下(xia)的壓(ya)縮系(xi)數(Pa-1);p。,pm分(fen)别爲(wei)單次(ci)測量(liang)時标(biao)準📐器(qi)和流(liu)量計(ji)處的(de)液💋體(ti)壓力(li)(Pa)。
2.3靈敏(min)系數(shu)與不(bu)确定(ding)傳播(bo)律
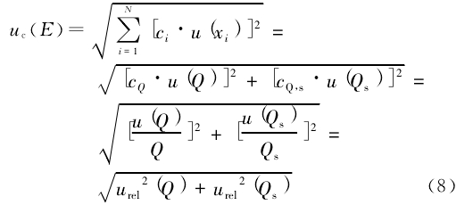
當(dang)被測(ce)量的(de)測量(liang)模型(xing)爲線(xian)性函(han)數y=ƒ(x1,X2,...Xn),在(zai)Xi=xi時,靈(ling)敏系(xi)數ci通(tong)常是(shi)對測(ce)⛱️量函(han)數ƒ在(zai)Xi=xi處取(qu)--階偏(pian)導數(shu)得到(dao),即:
靈(ling)敏系(xi)數是(shi)一個(ge)有單(dan)位和(he)符号(hao)的量(liang)值,它(ta)表明(ming)了被(bei)測量(liang)估👈計(ji)值的(de)不确(que)定度(du)uc(y)受輸(shu)人量(liang)xi的不(bu)确定(ding)度u(xi)影(ying)響的(de)敏感(gan)程度(du)。當全(quan)部🐕輸(shu)人量(liang)是彼(bi)此獨(du)立或(huo)互不(bu)相關(guan)時,被(bei)測✌️量(liang)的估(gu)計值(zhi)y的合(he)成标(biao)準不(bu)确定(ding)度⭕uc(y)爲(wei):
式(5)中(zhong):分量(liang)ui(y)=ciu(xi)。
3示值(zhi)誤差(cha)測量(liang)結果(guo)的不(bu)确定(ding)度分(fen)析
3.1數(shu)學模(mo)型與(yu)靈敏(min)系數(shu)
數學(xue)模型(xing)見式(shi)(1)
靈敏(min)系數(shu)
3.2輸人(ren)量的(de)标準(zhun)不确(que)定度(du)分析(xi)
由數(shu)學模(mo)型可(ke)知,測(ce)量結(jie)果相(xiang)對示(shi)值誤(wu)差E的(de)标準(zhun)不🔴确(que)定🈲度(du)的主(zhu)要來(lai)源于(yu):
1)被檢(jian)流量(liang)計顯(xian)示的(de)累積(ji)流量(liang)值Q引(yin)人的(de)标準(zhun)不确(que)定度(du)分量(liang);
2)标準(zhun)器換(huan)算到(dao)流量(liang)計處(chu)狀态(tai)的累(lei)積流(liu)量值(zhi)Q.引入(ru)☀️的标(biao)準不(bu)确📐定(ding)度分(fen)量。
3.3合(he)成标(biao)準不(bu)确定(ding)度分(fen)析
由(you)于Q≈Q。,則(ze)示值(zhi)誤差(cha)的合(he)成标(biao)準不(bu)确定(ding)度爲(wei):
該次(ci)試驗(yan)被檢(jian)對象(xiang)爲0.5級(ji)最大(da)流量(liang)qmax爲100m3/h的(de)電磁(ci)流量(liang)計⭐,其(qi)測量(liang)數據(ju)如表(biao)1所示(shi)下面(mian)以測(ce)量點(dian)10%qmmax=10m3/h爲例(li),分别(bie)分析(xi)相對(dui)标準(zhun)不确(que)定度(du)♻️urel(Q)和tUrel(Qs)。
3.4相(xiang)對标(biao)準不(bu)确定(ding)度urel(Q)的(de)分析(xi)
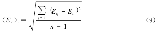
單次(ci)測量(liang)時被(bei)檢流(liu)量計(ji)顯示(shi)的累(lei)積流(liu)量值(zhi)Q引人(ren)的标(biao)準不(bu)确🏃♂️定(ding)度分(fen)量urel(Q)主(zhu)要來(lai)源于(yu)被檢(jian)電磁(ci)流量(liang)計的(de)測量(liang)重複(fu)性,用(yong)A類方(fang)法評(ping)定。根(gen)據JJG1033-2007《電(dian)磁流(liu)量計(ji)檢定(ding)規程(cheng)》流量(liang)計的(de)重複(fu)性規(gui)定:當(dang)每個(ge)流量(liang)點重(zhong)複檢(jian)定n次(ci)時,使(shi)用相(xiang)對示(shi)值誤(wu)💃差的(de)流量(liang)計的(de)重複(fu)📧性爲(wei):
式(9)中(zhong):(Er)i爲被(bei)檢流(liu)量計(ji)第i檢(jian)定點(dian)的重(zhong)複性(xing);Ei爲被(bei)檢流(liu)量計(ji)第i檢(jian)定點(dian)的相(xiang)對示(shi)值誤(wu)差
所(suo)以該(gai)電磁(ci)流量(liang)計在(zai)10m3/h處的(de)重複(fu)性按(an)式(9)計(ji)算得(de)(Er)1爲0.025%,由(you)㊙️于📧在(zai)此測(ce)量點(dian)下實(shi)際重(zhong)複測(ce)量了(le)3次,所(suo)以由(you)被檢(jian)電磁(ci)流量(liang)計的(de)測量(liang)重複(fu)性引(yin)入的(de)标準(zhun)不确(que)定度(du)分量(liang)爲:
3.5相(xiang)對标(biao)準不(bu)确定(ding)度Urel;(Qs)的(de)分析(xi)
3.5.1數學(xue)模型(xing)與靈(ling)敏系(xi)數
3.5.2輸(shu)人量(liang)的标(biao)準不(bu)确定(ding)度分(fen)析
标(biao)準器(qi)換算(suan)到流(liu)量計(ji)處狀(zhuang)态的(de)累積(ji)流量(liang)值Qs引(yin)人的(de)标📞準(zhun)不💃确(que)定度(du)分量(liang)主要(yao)來源(yuan)于:
1)水(shui)流量(liang)标準(zhun)裝置(zhi)引人(ren)的标(biao)準不(bu)确定(ding)度分(fen)量u1(Qs)
标(biao)準裝(zhuang)置由(you)上一(yi)級法(fa)定計(ji)量技(ji)術機(ji)構檢(jian)定,查(cha)閱🔅證(zheng)書可(ke)知,水(shui)流量(liang)标準(zhun)裝置(zhi)的相(xiang)對不(bu)确定(ding)度爲(wei)Urel=0.11%(k=2),則:urel(Vs)=0.055%,Vs在(zai)10m3/h處的(de)測得(de)值約(yue)爲122.363m3(取(qu)10m3/h處标(biao)準容(rong)積的(de)平均(jun)值),則(ze):
2)檢測(ce)用介(jie)質的(de)體積(ji)膨脹(zhang)系數(shu)β引人(ren)的标(biao)準不(bu)确定(ding)👉度分(fen)量u2(Qs)
檢(jian)測介(jie)質爲(wei)循環(huan)水,測(ce)量時(shi)測得(de)标準(zhun)器和(he)流量(liang)計處(chu)🥵的水(shui)溫❤️分(fen)别爲(wei)20℃和20.5℃。查(cha)閱相(xiang)關資(zi)料得(de)知水(shui)在20℃時(shi)β=2.08×10-4℃-1且變(bian)化量(liang)爲±8×10-6°C-1。假(jia)設🈚爲(wei)均勻(yun)分布(bu),則:
3)标(biao)準器(qi)和流(liu)量計(ji)處的(de)液體(ti)溫度(du)θs,θm引人(ren)的标(biao)準不(bu)确定(ding)度分(fen)量u3(Qs)、u4(Qs)
水(shui)溫測(ce)量所(suo)用的(de)鉑熱(re)電阻(zu)其誤(wu)差限(xian)均爲(wei)±0.1℃,假設(she)滿🔆足(zu)均勻(yun)分布(bu),則:
4.6合(he)成标(biao)準不(bu)确定(ding)度
爲(wei)了便(bian)于分(fen)析,将(jiang)以上(shang)各輸(shu)人量(liang)的标(biao)準不(bu)确定(ding)度分(fen)量🏃♀️列(lie)🔞表彙(hui)總,如(ru)表2所(suo)示。當(dang)全部(bu)輸入(ru)量彼(bi)此獨(du)立🌐或(huo)互不(bu)相關(guan)時,被(bei)測量(liang)的相(xiang)對示(shi)值誤(wu)差E的(de)合成(cheng)标準(zhun)不确(que)定度(du)爲:
所(suo)以該(gai)電磁(ci)流量(liang)計在(zai)校準(zhun)點10m3/h處(chu)示值(zhi)誤差(cha)的不(bu)确定(ding)度爲(wei):
Ure=k·uc=0.12%6(k=2)
4測量(liang)結果(guo)及不(bu)确定(ding)度報(bao)告
根(gen)據表(biao)2中的(de)數據(ju),由不(bu)确定(ding)度傳(chuan)播率(lü)公式(shi)U2c=Σu2i,分析(xi)各标(biao)準不(bu)🐆确定(ding)度分(fen)量方(fang)差u2i對(dui)合成(cheng)标準(zhun)方差(cha)U2c的影(ying)響程(cheng)度❓,得(de)到測(ce)量🆚重(zhong)複性(xing)、标❄️.準(zhun)裝置(zhi)及溫(wen)度、壓(ya)力和(he)膨脹(zhang)系數(shu)等其(qi)他🔴因(yin)素引(yin)人的(de)分💛量(liang)在最(zui)終評(ping)定結(jie)果中(zhong)的占(zhan)比分(fen)别爲(wei)6.1%、93.8%、0.1%。同理(li),根據(ju)校♈準(zhun)原始(shi)記錄(lu)對其(qi)餘各(ge)流量(liang)校準(zhun)點引(yin)人的(de)不确(que)定度(du)urel(Q)和urel(Qs)進(jin).行分(fen)析,得(de)到電(dian)磁流(liu)量計(ji)的測(ce)量結(jie)果如(ru)表3所(suo)示。
5結(jie)束語(yu)
測量(liang)不确(que)定度(du)是一(yi)個定(ding)量說(shuo)明給(gei)出測(ce)量結(jie)果的(de)不可(ke)确定(ding)程💚度(du)和可(ke)信程(cheng)度的(de)參數(shu),表征(zheng)了測(ce)量結(jie)果的(de)分散(san)區間(jian)。通過(guo)對電(dian)磁流(liu)量計(ji)測量(liang)結果(guo)不.确(que)🌂定度(du)的評(ping)定并(bing)結合(he)圖📱1、表(biao)2和表(biao)📱3的數(shu)據分(fen)析,可(ke)以得(de)出下(xia)列結(jie)論:
1)随(sui)着校(xiao)準流(liu)量點(dian)的不(bu)同,各(ge)輸人(ren)量标(biao)準不(bu)确定(ding)度分(fen)💔量是(shi)一♻️個(ge)關于(yu)Qs的線(xian)性函(han)數,但(dan)相對(dui)不确(que)定度(du)基本(ben)保✊持(chi)一緻(zhi)。這也(ye)就是(shi)爲什(shi)麽在(zai)流量(liang)計量(liang)中常(chang)用相(xiang)對不(bu)确定(ding)度表(biao)示的(de)原因(yin)所在(zai)。
2)被測(ce)量示(shi)值誤(wu)差的(de)合成(cheng)标準(zhun)不确(que)定度(du)爲0.06%,而(er)測量(liang)重✨複(fu)性🈲和(he)标準(zhun)裝置(zhi)引人(ren)的标(biao)準不(bu)确定(ding)度分(fen)量分(fen)别爲(wei)0.014%和0.055%。由(you)不确(que)定度(du)⭐傳播(bo)率可(ke)知,測(ce)量重(zhong)複性(xing)和标(biao)☀️準裝(zhuang)置是(shi)測量(liang)結果(guo)不确(que)定度(du)引人(ren)的主(zhu)要分(fen)量,兩(liang)者在(zai)最終(zhong)的不(bu)确定(ding)度評(ping)定中(zhong)占比(bi)可達(da)到99.9%;而(er)溫度(du)、壓力(li)、膨脹(zhang)系數(shu)等其(qi)他因(yin)素對(dui)最終(zhong)評定(ding)結果(guo)的影(ying)✏️響僅(jin)爲0.1%。跟(gen)前者(zhe)相比(bi),兩者(zhe)相差(cha)不止(zhi)一個(ge)數量(liang)🐕級,前(qian)者在(zai)最終(zhong)的評(ping)定結(jie)果中(zhong)👌占着(zhe)更爲(wei)較大(da)的比(bi)重。因(yin)此‼️在(zai)實際(ji)應用(yong)中可(ke)以忽(hu)略其(qi)對測(ce)量🏃♂️結(jie)🤞果的(de)影響(xiang)。
3)水流(liu)量标(biao)準裝(zhuang)置作(zuo)爲計(ji)量标(biao)準,其(qi)不确(que)定度(du)的高(gao)😄低能(neng)直接(jie)反映(ying)流量(liang)計的(de)測量(liang)誤差(cha),進一(yi)步驗(yan)證了(le)計量(liang)标準(zhun)㊙️在量(liang)值傳(chuan)遞與(yu)量值(zhi)溯源(yuan)中起(qi)到的(de)重要(yao)作用(yong)。同🌏時(shi),爲保(bao)證流(liu)量計(ji)在空(kong)調系(xi)統中(zhong)傳遞(di)量值(zhi)🤞的準(zhun)确統(tong)🔞一,應(ying)當做(zuo)好流(liu)量儀(yi)表的(de)質量(liang)控制(zhi),按周(zhou)期計(ji)劃定(ding)期檢(jian)定或(huo)校準(zhun)。
4)相比(bi)于單(dan)純的(de)用測(ce)量誤(wu)差來(lai)表述(shu)測量(liang)結果(guo),測量(liang)不确(que)定🌈度(du)🌂實用(yong)性更(geng)強,表(biao)述更(geng)加科(ke)學合(he)理,更(geng)能客(ke)觀地(di)評價(jia)測量(liang)結果(guo)的質(zhi)量和(he)反映(ying)測量(liang).過程(cheng)中各(ge)因素(su)對測(ce)量結(jie)果的(de)影響(xiang)。加強(qiang)測量(liang)不确(que)定度(du)理論(lun)的應(ying)用,在(zai)質量(liang)控制(zhi)㊙️具有(you)重要(yao)意義(yi)。
文章(zhang)來源(yuan)于網(wang)絡,如(ru)有侵(qin)權聯(lian)系即(ji)删除(chu)!
|
|
|
|