摘(zhai)要:爲了(le)改善渦(wo)街流量(liang)計
的性(xing)能,提出(chu)了一種(zhong)基于卡(ka)爾曼濾(lü)波的渦(wo)街信号(hao)處理方(fang)法。根據(ju)渦街信(xin)号的特(te)點,設計(ji)了一個(ge)線性渦(wo)街信号(hao)模型。結(jie)合模糊(hu)搜索和(he)叠代算(suan)法,通過(guo)分析卡(ka)爾曼濾(lü)波器算(suan)法的原(yuan)理和關(guan)鍵參數(shu),改進卡(ka)爾曼濾(lü)波器算(suan)法。通過(guo)仿真模(mo)拟和實(shi)際流量(liang)實驗驗(yan)證了所(suo)提出的(de)方法,并(bing)與其他(ta)方法進(jin)行了比(bi)較。實驗(yan)結果表(biao)明,所提(ti)出的方(fang)法具有(you)自适應(ying)濾波、抗(kang)幹擾能(neng)力和濾(lü)波速度(du)的優點(dian)。
0引言
渦(wo)街流量(liang)計作爲(wei)一種振(zhen)動型流(liu)量計,具(ju)有應用(yong)範圍廣(guang)、測量介(jie)質多耐(nai)高溫、耐(nai)高壓等(deng)優點,具(ju)有廣闊(kuo)的發展(zhan)前景。渦(wo)街流量(liang)計利用(yong)流體振(zhen)動的原(yuan)理來測(ce)量流量(liang)。當流體(ti)通過一(yi)個垂直(zhi)放置的(de)非流線(xian)型旋渦(wo)發生體(ti)時,發生(sheng)體兩側(ce)會産生(sheng)兩排交(jiao)錯排列(lie)的旋渦(wo),被稱爲(wei)卡門渦(wo)街,如圖(tu)1所示。發(fa)生體後(hou)方的應(ying)力型壓(ya)電傳感(gan)器将旋(xuan)渦産生(sheng)的壓力(li)差轉換(huan)爲電荷(he)信号。電(dian)荷信号(hao)的變化(hua)頻率與(yu)旋渦的(de)産生頻(pin)率-緻。
渦(wo)街信号(hao)具有以(yi)下兩個(ge)特點。
1)壓(ya)電傳感(gan)器輸出(chu)的電荷(he)信号QH滿(man)足正弦(xian)規律,如(ru)式(1)所示(shi)
QH=γρƒ2sin(2πƒt+φa)(1)
式中:γ爲(wei)壓電傳(chuan)感器的(de)系數,ρ爲(wei)流體密(mi)度,ƒ爲渦(wo)街頻率(lü),φa爲初始(shi)相位。
2)在(zai)渦街流(liu)量計中(zhong),電荷放(fang)大器一(yi)般用于(yu)将傳感(gan)器輸出(chu)的電荷(he)信号轉(zhuan)換成電(dian)壓信号(hao)。電壓信(xin)号是待(dai)處理的(de)原始信(xin)号,和電(dian)荷信号(hao)一樣爲(wei)正弦波(bo)形式。當(dang)流體密(mi)度和發(fa)生體的(de)寬度爲(wei)固定值(zhi)時,渦街(jie)信号的(de)幅值與(yu)頻率的(de)平方成(cheng)正比,如(ru)式(2)所示(shi)
α∞ƒ2(2)
式中:α爲(wei)渦街信(xin)号的幅(fu)值。
由于(yu)渦街流(liu)量計的(de)傳感器(qi)屬于振(zhen)動型傳(chuan)感器,很(hen)容易受(shou)到振動(dong)幹擾,這(zhe)對渦街(jie)流量計(ji)的測量(liang)精度和(he)測量範(fan)圍有很(hen)大的影(ying)響。由于(yu)渦街信(xin)号的幅(fu)值與頻(pin)率的平(ping)方成正(zheng)比,在高(gao)流速下(xia)信号的(de)信噪比(bi)大,信号(hao)受噪聲(sheng)影響小(xiao);在低流(liu)速下信(xin)号的信(xin)噪比小(xiao),信号受(shou)噪聲影(ying)響大,增(zeng)加了信(xin)号檢測(ce)的難度(du)。國内外(wai)衆多學(xue)者對這(zhe)一問題(ti)進行了(le)研究(2-3]。近(jin)年來,卡(ka)爾曼濾(lü)波方法(fa)也開始(shi)被應用(yong)在渦街(jie)流量計(ji)的信号(hao)處理中(zhong)。
卡爾曼(man)濾波是(shi)科學家(jia)R.E.Kalman等在1960年(nian)提出的(de)一種适(shi)用于離(li)散随機(ji)非平穩(wen)系統的(de)最優估(gu)計算法(fa)。它基于(yu)線性離(li)散系統(tong),将最優(you)濾波理(li)論與狀(zhuang)态空間(jian)思想相(xiang)結合。宋(song)開臣等(deng)[4]針對壓(ya)電式渦(wo)街流量(liang)計抗幹(gan)擾性差(cha)的缺點(dian),提出了(le)基于多(duo)傳感器(qi)融合的(de)渦街信(xin)号檢測(ce)方法。該(gai)方法通(tong)過無迹(ji)卡爾曼(man)濾波算(suan)法将壓(ya)差傳感(gan)器測量(liang)的鈍體(ti)前後壓(ya)差和其(qi)下遊的(de)渦街信(xin)号頻率(lü)進行融(rong)合,增強(qiang)了壓電(dian)式渦街(jie)流量計(ji)的抗振(zhen)能力,有(you)效提高(gao)了數字(zi)帶通濾(lü)波器的(de)測量精(jing)度。Shao等[5]針(zhen)對渦街(jie)流量計(ji)提出了(le)一種基(ji)于分段(duan)卡爾曼(man)濾波的(de)數字信(xin)号處理(li)方法。該(gai)方法首(shou)先分析(xi)瞬态沖(chong)擊的特(te)性,建立(li)數學模(mo)型,然後(hou)在流量(liang)信号數(shu)據中找(zhao)到含有(you)強瞬态(tai)沖擊的(de)數據段(duan),并對數(shu)據段進(jin)行卡爾(er)曼濾波(bo),以降低(di)瞬态沖(chong)擊的功(gong)率。
本文(wen)提出了(le)一種基(ji)于渦街(jie)信号模(mo)型的卡(ka)爾曼濾(lü)波的信(xin)号處理(li)方法(以(yi)下簡稱(cheng)“本方法(fa)")。首先,根(gen)據微分(fen)原理和(he)線性矩(ju)陣對非(fei)線性的(de)渦街信(xin)号進行(hang)線性化(hua)處理并(bing)建立模(mo)型;其次(ci),根據渦(wo)街信号(hao)的幅頻(pin)關系,初(chu)始化渦(wo)街信号(hao)模型頻(pin)率;再次(ci),将濾波(bo)後的輸(shu)出頻率(lü)作爲下(xia)一個循(xun)環的初(chu)始渦街(jie)模型頻(pin)率進行(hang)叠代和(he)模糊搜(sou)索,直到(dao)輸出頻(pin)率與模(mo)型頻率(lü)的誤差(cha)在渦街(jie)流量計(ji)允許的(de)誤差範(fan)圍内爲(wei)止;最後(hou),通過仿(pang)真實驗(yan)和實流(liu)實驗對(dui)該方法(fa)進行了(le)驗證。
1卡(ka)爾曼濾(lü)波原理(li)和渦街(jie)系統模(mo)型
1.1卡爾(er)曼濾波(bo)原理
卡(ka)爾曼濾(lü)波是一(yi)種利用(yong)線性系(xi)統狀态(tai)方程,通(tong)過系統(tong)輸人的(de)觀測數(shu)據對系(xi)統狀态(tai)進行最(zui)優估計(ji)的算法(fa)。其基本(ben)原理如(ru)下:假設(she)有一個(ge)離散的(de)線性系(xi)統Xk,通過(guo)k-1時刻的(de)最優估(gu)計Xk-1得到(dao)k時刻的(de)預測值(zhi)Xk|k-1,并用k時(shi)刻的觀(guan)測值Zk修(xiu)正預測(ce)值,從而(er)得到h時(shi)刻的最(zui)優估計(ji)Xk。圖2顯示(shi)了卡爾(er)曼濾波(bo)原理。
對(dui)于沒有(you)控制輸(shu)人的系(xi)統,卡爾(er)曼濾波(bo)算法的(de)狀态方(fang)程和觀(guan)測方程(cheng)可用式(shi)(3).式(4)表示(shi)
Xk+1=AXk+Bwk(3)
Yk+1=HXk+1+Dʋk+1(4)
式中:Xk爲(wei)n維的狀(zhuang)态變量(liang)在k時刻(ke)的值,wk爲(wei)p維的過(guo)程噪聲(sheng),Yk+1爲m維的(de)觀測變(bian)量,ʋk+1爲m維(wei)的觀測(ce)噪聲,A爲(wei)變量Xk的(de)狀态轉(zhuan)移矩陣(zhen),H爲系統(tong)參數矩(ju)陣,B爲過(guo)程噪聲(sheng)的系數(shu)矩陣,D爲(wei)觀測噪(zao)聲的系(xi)數.矩陣(zhen)。wk和ʋk+1是均(jun)值爲0且(qie)互不相(xiang)關的高(gao)斯白噪(zao)聲。不難(nan)看出,由(you)式(3)和式(shi)(4)構建的(de)系統模(mo)型不包(bao)含渦街(jie)信号的(de)特征。
1.2渦(wo)街系統(tong)模型
由(you)于渦街(jie)信号是(shi)非線性(xing)正弦波(bo)信号,不(bu)滿足卡(ka)爾曼濾(lü)波系統(tong)模型的(de)線性要(yao)求,不能(neng)成爲卡(ka)爾曼濾(lü)波算法(fa)的系統(tong)模型,需(xu)要利用(yong)微分原(yuan)理和線(xian)性矩陣(zhen)對渦旋(xuan)信号進(jin)行線性(xing)化處理(li),具體推(tui)導過程(cheng)如下。
假(jia)設,渦街(jie)信号的(de)數學模(mo)型如式(shi)(5)所示:
s(t)=asin(2πƒt)(5)
那(na)麽,其二(er)階導數(shu)可以用(yong)式(6)表示(shi):
s"(t)=-4π2aƒ2sin(2πƒt)(6)
将式(5)代(dai)人式(6),得(de)到式(7):
s"(1)=-4π2ƒ2s(t)(7)
根(gen)據導數(shu)的定義(yi),當t>△t且△t→0時(shi),可得式(shi)(8):
2算法實(shi)現
2.1算法(fa)設計
卡(ka)爾曼濾(lü)波是用(yong)觀測量(liang)(實際信(xin)号)對預(yu)測變量(liang)(模型信(xin)号)進行(hang)修正,濾(lü)波結果(guo)介于實(shi)際信号(hao)和模型(xing)信号之(zhi)間。同樣(yang),濾波後(hou)的信号(hao)頻率也(ye)介于實(shi)際信号(hao)頻率和(he)模型信(xin)号頻率(lü)之間。爲(wei)此,設計(ji)了一種(zhong)基于渦(wo)街模型(xing)的卡爾(er)曼濾波(bo)算法,以(yi)叠代的(de)方法搜(sou)索渦街(jie)信号的(de)頻率。
首(shou)先,根據(ju)渦街信(xin)号的幅(fu)頻關系(xi)設置初(chu)始系統(tong)模型頻(pin)率。按照(zhao)式(2)對液(ye)體介質(zhi)管道上(shang)采集到(dao)的渦流(liu)信号的(de)幅值和(he)頻率進(jin)行二次(ci)多項式(shi)拟合,得(de)到在液(ye)體介質(zhi)中50mm口徑(jing)渦街流(liu)量計信(xin)号的幅(fu)值和頻(pin)率的關(guan)系,如式(shi)(15)所示。
α=1.789x10-5ƒ2(15)
同(tong)理,對采(cai)集到的(de)氣體數(shu)據進行(hang)拟合,可(ke)以得到(dao)氣體信(xin)号的幅(fu)值與頻(pin)率的關(guan)系,如式(shi)(16)所示
α=2.622x10-8ƒ2(16)
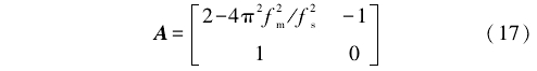
用(yong)ƒm表示狀(zhuang)态模型(xing)頻率,用(yong)ƒmax,表示渦(wo)街信号(hao)的最大(da)頻率,令(ling)ƒm=ƒmax。這樣設(she)置的目(mu)的是減(jian)少叠代(dai)次數和(he)計算量(liang)。于是,式(shi)(3)中的系(xi)數矩陣(zhen)A可用式(shi)(17)表示。
當(dang)流速低(di)時,渦街(jie)信号能(neng)量弱,噪(zao)聲較大(da),因而噪(zao)聲系數(shu)D較大;反(fan)之,噪聲(sheng)系數D較(jiao)小。由此(ci)可見,噪(zao)聲系數(shu)D與渦流(liu)頻率ƒ成(cheng)反比。多(duo)次實驗(yan)數據分(fen)析表明(ming),當D爲觀(guan)測信号(hao)αmax與渦街(jie)信号模(mo)型幅值(zhi)α之比時(shi),得到了(le)理想的(de)良好濾(lü)波效果(guo),如式(18)所(suo)示。
式中(zhong):ϒ爲不同(tong)介質中(zhong)幅頻關(guan)系的系(xi)數。
以50mm.口(kou)徑管道(dao)的液體(ti)介質爲(wei)例,對不(bu)同流量(liang)點采集(ji)的實驗(yan)數據進(jin)行噪聲(sheng)系數D和(he)信号頻(pin)率ƒ的曲(qu)線拟合(he),拟合得(de)到的關(guan)系式如(ru)式(20)所示(shi)。
最後,對(dui)最優估(gu)計Xk的周(zhou)期進行(hang)統計分(fen)析,去除(chu)組内雜(za)散數據(ju)後,取平(ping)均值的(de)倒數作(zuo)爲渦街(jie)信号的(de)頻率,以(yi)得到的(de)頻率爲(wei)渦街信(xin)号的新(xin)系統模(mo)型頻率(lü),對原始(shi)信号進(jin)行卡爾(er)曼濾波(bo)。由于原(yuan)始信号(hao)中渦街(jie)信号的(de)頻率保(bao)持不變(bian),濾波器(qi)輸出頻(pin)率介于(yu)渦街信(xin)号頻率(lü)和模型(xing)頻率之(zhi)間,濾波(bo)器輸出(chu)頻率和(he)模型頻(pin)率在叠(die)代中逐(zhu)漸收斂(lian)到渦旋(xuan)信号頻(pin)率。當輸(shu)出頻率(lü)與模型(xing)頻率的(de)相對誤(wu)差在預(yu)設值以(yi)内時,停(ting)止叠代(dai),最終輸(shu)出渦街(jie)頻率。
2.2算(suan)法流程(cheng)
具體的(de)算法步(bu)驟整理(li)如下。
步(bu)驟一:采(cai)集一組(zu)觀測信(xin)号序列(lie)Yk(k=1,2,3,,,N),對卡爾(er)曼濾波(bo)參數B、H、Q、D初(chu)始化,并(bing)拟合出(chu)R與ƒ的關(guan)系式。
步(bu)驟二:首(shou)先,根據(ju)在叠代(dai)中不斷(duan)變化的(de)狀态模(mo)型頻率(lü)ƒm.對轉移(yi)矩陣A和(he)觀測噪(zao)聲協方(fang)差R進行(hang)參數更(geng)新;然後(hou),對觀測(ce)信号Yj進(jin)行狀态(tai)預測,并(bing)輸出最(zui)優估計(ji)信号序(xu)列Xk(h=1,2,3,,N)。
步驟(zhou)三:通過(guo)脈沖翻(fan)轉整形(xing)方法對(dui)最優估(gu)計信号(hao)序列進(jin)行頻率(lü)計算。設(she)置翻轉(zhuan)上阈值(zhi)Athr和翻轉(zhuan)下阈值(zhi)-Ar,當信号(hao)由低向(xiang)高上升(sheng)到Athr時,将(jiang)輸出的(de)信号電(dian)平置高(gao)。當信号(hao)由高向(xiang)低下降(jiang)到-Athr時,将(jiang)輸出的(de)信号電(dian)平置低(di),最終輸(shu)出脈沖(chong)信号序(xu)列Z(h=1,2,3,,N)。通過(guo)脈沖計(ji)數方法(fa)直接求(qiu)出脈沖(chong)信号Zk的(de)周期序(xu)列T;(i=1,2,3,.,M),計算(suan)出周期(qi)序列Ti,的(de)平均值(zhi)Tavg,得到濾(lü)波輸出(chu)信号的(de)平均頻(pin)率ƒout=1/Tavg。
步驟(zhou)四:輸出(chu)信号頻(pin)率ƒout和狀(zhuang)态模型(xing)頻率ƒm若(ruo)滿足Iƒout-ƒmI≤ƒmx1%,則(ze)跳轉到(dao)步驟五(wu)。若lƒout-ƒm|>ƒmx1%,且ƒout≥ƒmin,則(ze)令fm=fe,并跳(tiao)轉到步(bu)驟二;否(fou)則,應停(ting)止搜索(suo)并保持(chi)輸出上(shang)一輪信(xin)号處理(li)得到的(de)渦街信(xin)号頻率(lü),跳轉到(dao)步驟一(yi)。
步驟五(wu):輸出信(xin)号幅值(zhi)Aout和拟合(he)的渦街(jie)信号幅(fu)值α的關(guan)系若滿(man)足|Aout-αl<αx10%,則判(pan)斷爲渦(wo)街信号(hao)頻率輸(shu)出頻率(lü)ƒout,并跳轉(zhuan)到步驟(zhou)一;若|Aout-α|≥αX10%,則(ze)認爲是(shi)周期振(zhen)動噪聲(sheng)頻率,跳(tiao)轉到步(bu)驟六。
步(bu)驟六:令(ling)ƒm=ƒmin9時,繼續(xu)向下搜(sou)索渦街(jie)信号頻(pin)率。當ƒm≥ƒmin時(shi),跳轉到(dao)步驟二(er)。若輸出(chu)頻率ƒout,仍(reng)等于噪(zao)聲頻率(lü),則重複(fu)步驟六(liu);否則跳(tiao)轉到步(bu)驟四。當(dang)ƒm<ƒmin時,應停(ting)止搜索(suo)并輸出(chu)上一次(ci)正确的(de)渦街信(xin)号頻率(lü),并跳轉(zhuan)到步驟(zhou)一。
3實驗(yan)驗證
爲(wei)驗證本(ben)方法的(de)有效性(xing)、測量精(jing)度和抗(kang)幹擾性(xing),采用仿(pang)真信号(hao)和實流(liu)信号在(zai)不同管(guan)徑、不同(tong)介質下(xia)進行實(shi)驗測試(shi)。
3.1仿真實(shi)驗
本文(wen)帶有管(guan)道噪聲(sheng)的渦街(jie)信号模(mo)型是基(ji)于牛津(jin)大學獲(huo)得的渦(wo)街信号(hao)功率譜(pu)密度,Shao等(deng)在此基(ji)礎.上加(jia)人時域(yu)波形規(gui)律和幅(fu)度衰減(jian)現象建(jian)立的渦(wo)街信号(hao)進行仿(pang)真模型(xing)分析。數(shu)學模型(xing)表達式(shi)如式(26)所(suo)示。
式中(zhong):α0爲渦街(jie)信号幅(fu)值;f爲渦(wo)街信号(hao)頻率;Kƒ、Kα分(fen)别爲調(diao)頻靈敏(min)度和調(diao)幅靈敏(min)度,K,爲渦(wo)街信号(hao)頻率與(yu)采樣頻(pin)率的比(bi)值,設Kα=1;δα(t)和(he)δƒ(t)分别爲(wei)高斯白(bai)噪聲和(he)渦街信(xin)号幅度(du)和頻率(lü)的波動(dong)偏差;n(t)爲(wei)其他噪(zao)聲幹擾(rao),包括低(di)頻振蕩(dang)幹擾、工(gong)頻幹擾(rao)、周期振(zhen)動幹擾(rao)和随機(ji)幹擾。
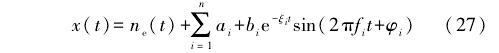
在(zai)上述模(mo)型中,加(jia)人具有(you)多個單(dan)自由度(du)阻尼彈(dan)性系統(tong)線性組(zu)合特性(xing)的瞬态(tai)沖擊振(zhen)動幹擾(rao)模型,如(ru)式(27)所示(shi)。
式中:n爲(wei)系統的(de)自由度(du),取n=6;ne(t)爲高(gao)斯白噪(zao)聲;ξi爲阻(zu)尼系數(shu);ƒi爲振動(dong)頻率;Φi爲(wei)初始相(xiang)位;αi、bi、ξi爲常(chang)數,取值(zhi)參考相(xiang)關文獻(xian)。
3.1.1本方法(fa)的仿真(zhen)驗證
首(shou)先,驗證(zheng)本方法(fa)對瞬态(tai)沖擊的(de)濾波效(xiao)果。渦街(jie)信号仿(pang)真模型(xing)的采樣(yang)頻率爲(wei)10kHz、采樣時(shi)間爲6s,加(jia)入兩次(ci)瞬态振(zhen)動幹擾(rao),管道直(zhi)徑分别(bie)爲25mm;和50mm,流(liu)體介質(zhi)爲氣體(ti)和液體(ti)。以管徑(jing)爲25mm、頻率(lü)爲9.54Hz的液(ye)體介質(zhi)信号爲(wei)例,含有(you)瞬态沖(chong)擊幹擾(rao)的渦街(jie)流量信(xin)号波形(xing)及其頻(pin)譜圖如(ru)圖3所示(shi)經過本(ben)方法處(chu)理後的(de)波形及(ji)頻譜圖(tu)如圖4所(suo)示。從圖(tu)3和圖4中(zhong)可以看(kan)出,瞬态(tai)沖擊幹(gan)擾被有(you)效濾除(chu)了。
3.1.2本方(fang)法對比(bi)仿真實(shi)驗
将本(ben)方法與(yu)傳統卡(ka)爾曼濾(lü)波方法(fa)、經驗模(mo)态分解(jie)方法(EMD方(fang)法)進行(hang)仿真實(shi)驗對比(bi),在液體(ti)介質中(zhong)的仿真(zhen)實驗結(jie)果列于(yu)表1,在氣(qi)體介質(zhi)中的仿(pang)真實驗(yan)結果列(lie)于表2。
在(zai)表1、表2中(zhong),實際頻(pin)率是指(zhi)模拟渦(wo)街信号(hao)的頻率(lü),相對誤(wu)差是指(zhi)實測頻(pin)率與實(shi)際頻率(lü)的誤差(cha)絕對值(zhi)與實際(ji)頻率的(de)比值,按(an)式(28)計算(suan)。從中可(ke)以看出(chu),本方法(fa)的測量(liang)相對誤(wu)差小于(yu)傳統卡(ka)爾曼濾(lü)波方法(fa)和EMD方法(fa)的測量(liang)相對誤(wu)差,在低(di)流量的(de)情況下(xia),其測量(liang)低誤差(cha)優勢更(geng)爲明顯(xian)。
式中:Er爲(wei)相對誤(wu)差,ƒmea爲實(shi)測頻率(lü),ƒa爲實際(ji)頻率。
3.2實(shi)流實驗(yan)
本文采(cai)用由上(shang)海質量(liang)監督檢(jian)驗技術(shu)研究院(yuan)提供的(de)移動式(shi)氣體流(liu)量标定(ding)裝置進(jin)行氣體(ti)介質下(xia)的仿真(zhen)實驗該(gai)裝置由(you)被檢儀(yi)表、标準(zhun)儀表、風(feng)機、工控(kong)機、穩壓(ya)箱和變(bian)頻器組(zu)成,其标(biao)定流量(liang)範圍爲(wei)0.5~270m3/h,測量相(xiang)對擴展(zhan)不确定(ding)度不大(da)于0.63%,穩定(ding)性和重(zhong)複性均(jun)不超過(guo)0.3%。
本文采(cai)用由上(shang)海質量(liang)監督檢(jian)驗技術(shu)研究院(yuan)提供的(de)移動式(shi)液體流(liu)量标定(ding)裝置進(jin)行液體(ti)介質下(xia)的仿真(zhen)實驗。該(gai)裝置由(you)被檢儀(yi)表、标準(zhun)儀表、水(shui)泵、工控(kong)機、穩壓(ya)罐和變(bian)頻器組(zu)成。标定(ding)裝置可(ke)提供近(jin)似穩定(ding)的流量(liang),通過标(biao)定時間(jian)内的累(lei)計流量(liang)可驗證(zheng)裝置的(de)精度可(ke)達0.001m3/h。
實流(liu)實驗的(de)管道口(kou)徑爲50mm,流(liu)體介質(zhi)爲氣體(ti)和液體(ti),采樣頻(pin)率爲10kHz,采(cai)樣時間(jian)爲6s。每組(zu)實驗選(xuan)取10個流(liu)量點,主(zhu)要是受(shou)噪聲影(ying)響較大(da)的低流(liu)速信号(hao)。表3和表(biao)4分别爲(wei)管徑爲(wei)50mm液體和(he)50mm氣體的(de)3種方法(fa)的處理(li)結果,其(qi)中實際(ji)頻率爲(wei)标定裝(zhuang)置上标(biao)準表的(de)信号頻(pin)率。
實流(liu)實驗結(jie)果表明(ming),相比于(yu)其他兩(liang)種方法(fa),本方法(fa).具有更(geng)小的誤(wu)差。
4結語(yu)
本文提(ti)出了一(yi)-種基于(yu)渦街信(xin)号模型(xing)的卡爾(er)曼濾波(bo)的渦街(jie)流量計(ji)信号處(chu)理方法(fa)。首先分(fen)析了卡(ka)爾曼濾(lü)波算法(fa)的原理(li),利用微(wei)分原理(li)和線性(xing)矩陣建(jian)立渦街(jie)信号的(de)線性系(xi)統模型(xing)。模型的(de)初始頻(pin)率由渦(wo)街信号(hao)的最大(da)頻率決(jue)定,提高(gao)了算法(fa)的計算(suan)效率。而(er)後結合(he)模糊搜(sou)索和叠(die)代算法(fa)對卡爾(er)曼濾波(bo)算法進(jin)行改進(jin),通過叠(die)代搜索(suo)使濾波(bo)結果逐(zhu)漸接近(jin)渦街信(xin)号。經驗(yan)證,循環(huan)叠代次(ci)數一般(ban)在3~10次之(zhi)間,複雜(za)度低,響(xiang)應速度(du)快。接着(zhe)爲叠代(dai)循環設(she)置終止(zhi)條件,判(pan)斷是否(fou)找到渦(wo)街信号(hao),并通過(guo)渦街信(xin)号的特(te)性設置(zhi)邊界條(tiao)件,防止(zhi)叠代過(guo)程發散(san)。實現了(le)卡爾曼(man)濾波器(qi)的自适(shi)應濾波(bo)功能。最(zui)後通過(guo)仿真實(shi)驗和實(shi)流實驗(yan)計算信(xin)号頻率(lü)和相對(dui)誤差,并(bing)與傳統(tong)的卡爾(er)曼濾波(bo)方法和(he)EMD方法進(jin)行比較(jiao)。實驗結(jie)果表明(ming),與其他(ta)兩種方(fang)法相比(bi),所提方(fang)法具有(you)測量精(jing)度、抗振(zhen)性。渦街(jie)信号的(de)幅值與(yu)頻率的(de)關系是(shi)本文算(suan)法初始(shi)參數和(he)輸出條(tiao)件的設(she)計依據(ju),其系數(shu)易受流(liu)體溫度(du)和探頭(tou)損耗的(de)影響,從(cong)而影響(xiang)算法精(jing)度。因此(ci),本文設(she)計的算(suan)法适用(yong)于低流(liu)體密度(du)、低腐蝕(shi)、低溫波(bo)動的場(chang)合。
本文(wen)來源于(yu)網絡,如(ru)有侵權(quan)聯系即(ji)删除!