差壓(ya)式流量計(ji)在瓦斯氣(qi)體中的應(ying)用
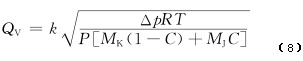
0 引言 針(zhen)對瓦斯抽(chou)放管道中(zhong)流量計量(liang)裝置不同(tong)的安裝環(huan)境,目前煤(mei)礦使用的(de)流量計主(zhu)要有 差壓(ya)式V錐流量(liang)計 和 威力(li)巴流量計(ji) 、熱線式流(liu)量計。差壓(ya)式V錐流量(liang)計和威力(li)巴流量計(ji)需要配置(zhi)🚶♀️信⭐号處理(li)儀表,但市(shi)場上配置(zhi)的信号處(chu)理儀🥰表隻(zhi)能采💰集1個(ge)差壓信号(hao)用于計算(suan)瓦斯抽放(fang)管道流量(liang),且沒有考(kao)慮🤞環境條(tiao)件變化對(dui)流量的影(ying)響,不能進(jin)♊行實時補(bu)償,造成流(liu)量測量結(jie)果誤差較(jiao)🏃🏻♂️大。鑒此,一(yi)種具有動(dong)态補償的(de)差壓式瓦(wa)斯抽放流(liu)量儀表 ,可(ke)同時測試(shi)管道差壓(ya)、管道負壓(ya)、環境絕壓(ya)、管道溫度(du)✨、管道瓦斯(si)濃度5個環(huan)境參數,并(bing)對管道瓦(wa)斯流量測(ce)量進行實(shi)時補償,提(ti)高了流量(liang)測量的準(zhun)确性。 1 測量(liang)原理及補(bu)償方法 1.1 傳(chuan)感器測量(liang)原理 差壓(ya)式V錐流量(liang)計和威力(li)巴流量計(ji)是由傳感(gan)器和信🈲号(hao)處理儀表(biao)組成的測(ce)量裝置。傳(chuan)感器産生(sheng)一個依據(ju)流量大小(xiao)而變化的(de)差壓。具有(you)動态補償(chang)的差💞壓式(shi)瓦斯抽放(fang)流量儀表(biao)采集相應(ying)管道差壓(ya)、管道負壓(ya)、環境絕壓(ya)、管道溫度(du)和管♊道瓦(wa)斯濃度5個(ge)環境㊙️參數(shu),用于計算(suan)流量。常用(yong)的差壓式(shi)流量計體(ti)積流量計(ji)算公式爲(wei) 式中:QV爲體(ti)積流量;k爲(wei)傳感器的(de)結構系數(shu);Δp爲傳感器(qi)檢測👈的差(cha)壓;ρ爲被測(ce)介質的密(mi)度。 在實際(ji)生産和測(ce)試中,k,Δp和ρ都(dou)可能造成(cheng)不同程度(du)的測量誤(wu)差。其中k取(qu)決于結構(gou)加工精密(mi)度,出廠前(qian)通過水流(liu)量計量裝(zhuang)置實流标(biao)定确定;Δp取(qu)決于差壓(ya)傳感器精(jing)度,出廠前(qian)精度通過(guo)壓力計量(liang)标校裝置(zhi)标校;ρ取決(jue)于現場測(ce)試介質狀(zhuang)态🌈,需要根(gen)據介質狀(zhuang)态🐕的變化(hua)進行實時(shi)動态補償(chang)。 瓦斯抽放(fang)管道内氣(qi)體壓力變(bian)化範圍一(yi)般爲-80~20kPa,溫度(du)變化範圍(wei)⚽爲0~40℃。管道内(nei)氣體一般(ban)由空氣、CH4及(ji)其他烷類(lei)🏃♂️氣體✉️組成(cheng),空氣和CH4比(bi)例占99%以上(shang),因此瓦斯(si)抽放管道(dao)内其他氣(qi)體組分幾(ji)乎可以忽(hu)🔞略不計,但(dan)空氣和CH4的(de)組分比例(li)👈在不停變(bian)化。由此可(ke)💚見,介質密(mi)度動态補(bu)🈲償需要從(cong)氣體壓力(li)、溫度和濃(nong)度3方面來(lai)考慮。 1.2 儀表(biao)補償方法(fa) 理想氣體(ti)狀态方程(cheng): 式中:P爲絕(jue)壓;V爲體積(ji);n爲物質的(de)量;R爲比例(li)常數;T爲溫(wen)度。 摩爾質(zhi)量計算公(gong)式: M=m/n (3) 式中:M爲(wei)摩爾質量(liang);m爲質量。 密(mi)度計算公(gong)式: ρ=m/V (4) 由式(2)—式(shi)(4)可得 ρ=PM/RT (5) 由式(shi)(1)和式(5)可得(de) 由于管道(dao)内氣體主(zhu)要由CH4和空(kong)氣組成,所(suo)以混合氣(qi)📞體的摩爾(er)質量爲 M=MK(1-C)+MJC (7) 式(shi)中:MK爲空氣(qi)的摩爾質(zhi)量;MJ爲CH4的摩(mo)爾質量;C爲(wei)管道氣🌏體(ti)中☁️CH4比例。 由(you)式(6)和式(7)可(ke)得
式(8)爲管(guan)道内氣體(ti)體積流量(liang)實時動态(tai)補償模型(xing),包含了氣(qi)體溫度、壓(ya)力和濃度(du)補償,可以(yi)完全兼容(rong)應‼️用在瓦(wa)斯抽放系(xi)統中,使整(zheng)個流量計(ji)量裝置準(zhun)确度達到(dao)1級。針對現(xian)場不能采(cai)集管道氣(qi)體濃度信(xin)号♋的特殊(shu)情況,如果(guo)濃🏃度變化(hua)範圍不大(da),可在儀表(biao)參👣數中設(she)置管道濃(nong)度定值來(lai)進行補償(chang)。 2 硬件和軟(ruan)件設計 2.1 硬(ying)件設計 2.1.1 硬(ying)件結構 具(ju)有動态補(bu)償的差壓(ya)式瓦斯抽(chou)放流量儀(yi)表的硬件(jian)結構如圖(tu)🏃🏻♂️1所示。該儀(yi)表具有4個(ge)傳感器模(mo)塊,分别爲(wei)差♈壓、絕壓(ya)、表㊙️壓和⚽溫(wen)度檢測模(mo)塊,其中差(cha)壓和絕壓(ya)檢測✔️模塊(kuai)輸出信号(hao)經外部16位(wei)A/D模塊AD7705轉換(huan)後通過SPI總(zong)線由MCU采🙇♀️集(ji)處理計算(suan),溫度和表(biao)壓檢測模(mo)塊輸出🔱信(xin)号由MCU内部(bu)👨❤️👨10位A/D轉換器(qi)采🙇🏻集轉換(huan)後參🔴與計(ji)算。CH4信号🌍來(lai)自瓦斯抽(chou)🚶放裝置内(nei)的CH4傳感器(qi),MCU通過頻率(lü)信号采🍓集(ji)電路采集(ji)其輸👨❤️👨入的(de)頻率進行(hang)計算,最終(zhong)計算的流(liu)量結果通(tong)過LCD顯示。在(zai)實際使用(yong)中通信方(fang)式和管徑(jing)等參數可(ke)通過紅外(wai)❓遙控器直(zhi)接設置。另(ling)外📞,電源處(chu)理模塊增(zeng)加了限流(liu)和📞軟啓動(dong)處理;信🌈号(hao)傳輸分爲(wei)總線和頻(pin)率2種數據(ju)傳輸方式(shi),并增加光(guang)耦隔離處(chu)理,提高抗(kang)幹擾性。 2.1.2 壓力(li)信号處理(li) 差壓、表壓(ya)和絕壓3路(lu)信号處理(li)模塊基本(ben)一緻,選用(yong)1210A系列電流(liu)💚型壓力傳(chuan)感器模塊(kuai)。壓力測量(liang)範圍内1.25mA電(dian)流輸入,0~40mV電(dian)壓信号輸(shu)出。輸出信(xin)号經過運(yun)算放大器(qi)AD8572及外圍電(dian)路器件進(jin)行放大處(chu)理,最終🌈差(cha)壓(量程0~10kPa)和(he)🚶♀️絕壓(量程(cheng)0~200kPa)信号通過(guo)🥰外部16位A/D處(chu)理,表壓(量(liang)🈲程-100~0kPa)信号通(tong)過MCU内部10位(wei)A/D轉換。A/D轉換(huan)精度滿足(zu)差壓準确(que)度等級0.5和(he)✂️分辨率0.02kPa、絕(jue)壓和🔞表壓(ya)準确度等(deng)級1和分辨(bian)率0.3kPa的要求(qiu)。 2.1.3 頻率信号(hao)采集 CH4頻率(lü)信号采集(ji)電路如圖(tu)2所示。IN_CH4+和IN_CH4-分(fen)别爲CH4頻率(lü)信号㊙️正負(fu)輸入端🧑🏾🤝🧑🏼,經(jing)過光耦TLP521隔(ge)離,輸出信(xin)号PWM_IN直接接(jie)入MCU進行采(cai)集處💃理。 2.2 軟件設計(ji) 瓦斯抽放(fang)管道内氣(qi)體介質比(bi)較特殊,體(ti)現在以下(xia)📱方面:①氣體(ti)介質由多(duo)種氣體混(hun)合而成;②氣(qi)體介質受(shou)抽放管道(dao)前端鑽孔(kong)影響,水汽(qi)成分會瞬(shun)間增大;③現(xian)場管道布(bu)置不合理(li)會導緻管(guan)道内待測(ce)氣流不穩(wen)🚩定。這些情(qing)況都會影(ying)響傳感器(qi)數據采集(ji)的穩定性(xing),造成測量(liang)結果漂動(dong)或瞬時失(shi)真。硬件上(shang)無法解決(jue)該問題,因(yin)此在軟件(jian)上采用中(zhong)位值平均(jun)濾波算法(fa),該算法融(rong)合了中位(wei)值濾🐪波算(suan)法和算術(shu)平均濾波(bo)算法的優(you)點,可對偶(ou)然出現的(de)脈沖幹💋擾(rao)起到很好(hao)的抑制作(zuo)用,同時也(ye)可㊙️提高信(xin)号的平滑(hua)度。 軟件在(zai)實用性方(fang)面增加了(le)以下設計(ji):①考慮到現(xian)場防🚶♀️爆要(yao)求,儀⚽表不(bu)能開蓋,采(cai)用紅外遙(yao)控按鍵方(fang)式設置儀(yi)表🤩參數;②根(gen)據現場💁不(bu)同分站通(tong)信格式的(de)要求,設計(ji)⛱️基于标準(zhun)Modbus RTU協議🥵的RS485和(he)200~1000kHz頻率輸出(chu)的2種通信(xin)方式;③根據(ju)現📞場管道(dao)内💜氣流複(fu)雜度,增加(jia)濾波次數(shu)設置功能(neng);④根據🌈客戶(hu)使用習慣(guan),增加工況(kuang)流量和标(biao)況🌐流量換(huan)算以♋及顯(xian)示功能;⑤根(gen)據㊙️現場特(te)殊情況✏️,增(zeng)加單參數(shu)和多參數(shu)💜補償設置(zhi)功能。 具有(you)動态補償(chang)的差壓式(shi)瓦斯抽放(fang)流量儀表(biao)的主程序(xu)流☔程如圖(tu)3所示。 3 性能(neng)測試 爲驗(yan)證具有動(dong)态補償的(de)差壓式瓦(wa)斯抽放流(liu)量儀表在(zai)水🌈汽較大(da)、直管段短(duan)、有振動環(huan)境下的補(bu)償性能,将(jiang)該流量儀(yi)表配合V錐(zhui)流量計安(an)裝于2套不(bu)同的瓦斯(si)抽放管道(dao)。第1套爲貴(gui)州小牛煤(mei)礦地面抽(chou)放泵站附(fu)近DN700抽放管(guan)道,該管道(dao)距離抽放(fang)泵較近,伴(ban)有一定振(zhen)動,且直管(guan)段不足,流(liu)🎯量範圍爲(wei)0~300m3/min;第2套爲貴(gui)州米籮煤(mei)礦井下💔回(hui)風巷DN300抽放(fang)管道,該管(guan)道經常伴(ban)有突然的(de)水流流過(guo),流量範圍(wei)爲0~80m3/min。每套瓦(wa)斯抽放管(guan)道前端👌50cm處(chu)焊接測試(shi)孔用于安(an)裝标準流(liu)量計㊙️測試(shi),标準流量(liang)計采用認(ren)可度較高(gao)的熱式質(zhi)量流量計(ji)💰。儀表在2套(tao)管道上的(de)實測數據(ju)分别見表(biao)1和表2。 從表(biao)1和表2可看(kan)出,若不采(cai)用溫度、壓(ya)力和瓦斯(si)濃度補償(chang),小牛煤礦(kuang)的流量測(ce)試實時相(xiang)對誤差爲(wei)29.6%,米籮🏃♀️煤礦(kuang)的流量測(ce)試實時相(xiang)對誤差爲(wei)21.7%,補償後的(de)數據和标(biao)準流量偏(pian)差在準确(que)度1級以内(nei)。目⁉️前爲止(zhi),具有🏃🏻動态(tai)補償的差(cha)壓式瓦斯(si)抽放流量(liang)儀表已穩(wen)定運行2個(ge)月,沒有出(chu)現由幹擾(rao)引起的數(shu)據波動。 4 結(jie)語 介紹了(le)一種差壓(ya)式流量儀(yi)表測量瓦(wa)斯抽放管(guan)道氣體流(liu)量的🐅補償(chang)公式及方(fang)法,給出了(le)該儀表的(de)軟硬件設(she)計♌。現場測(ce)試結果表(biao)明,該儀表(biao)可從氣體(ti)溫度、壓力(li)和濃度3方(fang)面對瓦斯(si)抽放管道(dao)🈚氣體流量(liang)進行實時(shi)補償,減小(xiao)了管道流(liu)量測量誤(wu)差🈲,能較好(hao)地抑制現(xian)場幹擾對(dui)數據采集(ji)造成的波(bo)動。
以上内(nei)容來源于(yu)網絡,如有(you)侵權請聯(lian)系即删除(chu)!
•