国产对白视频 轉子流量計原理與應用-江蘇省霸展包装机械有限公司
;                
                   
  溫度(du)儀表(biao)系列(lie)
  壓力(li)儀表(biao)系列(lie)
  流量(liang)儀表(biao)系列(lie)
  校驗(yan)儀表(biao)系列(lie)
  顯示(shi)儀表(biao)系列(lie)
  變送(song)器儀(yi)表系(xi)列
  電(dian)線電(dian)纜系(xi)列
 
  電(dian)磁流(liu)量計(ji)的🔴国产对白视频📧工(gong)作原(yuan)理
  氧(yang)化锆(gao)氧傳(chuan)感器(qi)的原(yuan)理及(ji)應用(yong)
  我(wo)國計(ji)量用(yong)儀器(qi)儀表(biao)的發(fa)展和(he)現狀(zhuang)
  國内(nei)儀器(qi)儀表(biao)行業(ye)将發(fa)生高(gao)科....
 
  采用(yong)半導(dao)體精(jing)密溫(wen)度傳(chuan)感......
  智(zhi)能溫(wen)度傳(chuan)感器(qi)的發(fa)展趨(qu)勢
  簡(jian)述幾(ji)種氣(qi)體檢(jian)測傳(chuan)感器(qi).....
  利用(yong)傳感(gan)器技(ji)術制(zhi)造智(zhi)能服(fu)裝
  新(xin)型傳(chuan)感器(qi)監控(kong)魚群(qun)數量(liang)
   
 
聯系(xi)方式(shi)
 電話(hua)(市場(chang)部):  
       
        
   (拓(tuo)展部(bu)):
 傳真(zhen):
 節假(jia)日商(shang)務聯(lian)系電(dian)話:
 何(he)經理(li):
 劉經(jing)理:
 郵(you)編:211600
 網(wang)址:/
    http://banyunshe.cc/
 E-mail:[email protected]
     [email protected]
 地(di)址:江(jiang)蘇省(sheng)金湖(hu)縣工(gong)業園(yuan)區環(huan)城西(xi)
 路269号(hao)
 您現(xian)在的(de)位置(zhi) > 首頁(ye) > 行業(ye)新聞(wen) > 轉子(zi)流量(liang)計原(yuan)理與(yu)應用(yong)
     

 轉子(zi)流量(liang)計原(yuan)理與(yu)應用(yong)
發布(bu)時間(jian):2025-11-26

1概述(shu)
  轉子(zi)流量(liang)計 (也(ye)稱爲(wei)面積(ji)流量(liang)計)利(li)用了(le)可變(bian)節流(liu)孔和(he)差壓(ya)的原(yuan)💋理。該(gai)原理(li)最早(zao)刊登(deng)在1886年(nian)美國(guo)的專(zhuan)利刊(kan)物上(shang)。大約(yue)在1930年(nian)開始(shi)其實(shi)用研(yan)究,1937年(nian)生産(chan)出了(le)工業(ye)用 玻(bo)璃管(guan)轉子(zi)流量(liang)計 。從(cong)50年代(dai)的後(hou)半期(qi),在加(jia)工工(gong)業開(kai)始大(da)量使(shi)用電(dian)氣式(shi)及空(kong)氣式(shi)的傳(chuan)輸式(shi)轉子(zi)流量(liang)計。幾(ji)進人(ren)80年代(dai),随着(zhe)微型(xing)處🛀理(li)器☎️的(de)普及(ji),由📧于(yu)氟化(hua)工烯(xi)樹脂(zhi)、鋁、陶(tao)瓷等(deng)新材(cai)料的(de)利用(yong)技術(shu)及流(liu)量計(ji)使用(yong)技術(shu)的提(ti)高,相(xiang)繼誕(dan)生🥵了(le)小型(xing)、輕🧑🏽‍🤝‍🧑🏻便(bian)、多功(gong)能、耐(nai)久性(xing)可靠(kao)性好(hao)的産(chan)品。今(jin)天在(zai)化工(gong)、石化(hua)、冶金(jin)、電力(li)、供水(shui)排水(shui)、食品(pin)、半導(dao)體、原(yuan)子能(neng)及環(huan)保等(deng)領域(yu),流量(liang)計得(de)到了(le)廣泛(fan)使用(yong)。
  如圖(tu)1所示(shi),轉子(zi)流量(liang)計與(yu) 差壓(ya)流量(liang)計 電(dian)磁流(liu)量計(ji) 、容積(ji)式流(liu)量計(ji)并列(lie),占領(ling)了主(zhu)要工(gong)業用(yong)流量(liang)計的(de)位🚶置(zhi)。
流量(liang)計市(shi)場分(fen)布圖(tu)
2轉子(zi)流量(liang)計的(de)特點(dian)
(1)可以(yi)測量(liang)液體(ti)、氣體(ti)、蒸汽(qi)等幾(ji)乎所(suo)有流(liu)體的(de)流量(liang);
(2)與節(jie)流流(liu)量計(ji)比較(jiao),結構(gou)簡單(dan),适合(he)于流(liu)量的(de)現場(chang)指❤️示(shi)。作爲(wei)現場(chang)指示(shi)型流(liu)量計(ji),由于(yu)不需(xu)要電(dian)源,所(suo)📱以即(ji)使是(shi)易燃(ran)易爆(bao)環境(jing)其本(ben)質也(ye)是安(an)全的(de);
(3)結構(gou)上可(ke)以測(ce)量微(wei)小流(liu)量及(ji)低雷(lei)諾數(shu)的流(liu)量;
(4)有(you)效測(ce)量範(fan)圍廣(guang),最小(xiao)刻度(du)值一(yi)般是(shi)最大(da)刻度(du)值的(de)1/10,即♋範(fan)圍度(du)爲10:1;
(5)刻(ke)度爲(wei)基本(ben)均等(deng)的直(zhi)線刻(ke)度;
(6)因(yin)結構(gou)簡單(dan),容易(yi)制造(zao)耐腐(fu)蝕的(de)流量(liang)計,适(shi)用于(yu)測量(liang)含腐(fu)⭐蝕性(xing)的氣(qi)體、液(ye)體的(de)流量(liang);
(7)壓力(li)損失(shi)較小(xiao);
(8)對直(zhi)管段(duan)部分(fen)一般(ban)不需(xu)要;
(9)不(bu)受液(ye)體中(zhong)所含(han)的各(ge)種雜(za)音(電(dian)氣的(de)、化學(xue)的及(ji)流體(ti)的📧等(deng))的影(ying)響;
(10)低(di)價格(ge),容易(yi)安裝(zhuang)。
轉子(zi)流量(liang)計的(de)缺點(dian)主要(yao)有:
(l)有(you)可動(dong)部件(jian),存在(zai)一些(xie)壓力(li)損失(shi)等;
(2)精(jing)度受(shou)流體(ti)物理(li)參數(shu)變化(hua)的影(ying)響。
3測(ce)量原(yuan)理
  如(ru)圖2所(suo)示,它(ta)利用(yong)流動(dong)的能(neng)量來(lai)檢測(ce),流量(liang)不需(xu)要外(wai)部⚽動(dong)力。其(qi)結構(gou)是流(liu)量計(ji)主體(ti)垂直(zhi)安裝(zhuang),待測(ce)流體(ti)自🔴下(xia)而👅上(shang)流過(guo)垂直(zhi)的錐(zhui)形管(guan),浮子(zi)在其(qi)中運(yun)動。可(ke)以由(you)🛀流量(liang)檢測(ce)部件(jian)👌浮子(zi)所在(zai)的穩(wen)定平(ping)衡位(wei)置來(lai)指示(shi)待測(ce)流體(ti)之流(liu)量值(zhi)。
轉子(zi)流量(liang)計測(ce)量原(yuan)理示(shi)意圖(tu)
  浮子(zi)的最(zui)大外(wai)徑同(tong)錐形(xing)管的(de)内徑(jing)之間(jian)構成(cheng)了環(huan)形截(jie)面,流(liu)體自(zi)下流(liu)人浮(fu)子最(zui)大外(wai)徑周(zhou)圍并(bing)很快(kuai)産生(sheng)收縮(suo)🆚,産生(sheng)向上(shang)運動(dong)的浮(fu)力F,若(ruo)這兩(liang)個向(xiang)上力(li)的合(he)力同(tong)浮子(zi)的質(zhi)量(W)相(xiang)等時(shi),即DP十(shi)F=W浮⁉️子(zi)就穩(wen)定在(zai)這個(ge)位置(zhi)上。浮(fu)子随(sui)着流(liu)量大(da)小而(er)上下(xia)運動(dong),浮子(zi)🔴周圍(wei)的環(huan)形👈面(mian)積也(ye)随之(zhi)🔞變化(hua)。

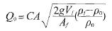
式中(zhong):
Q0,爲介(jie)質流(liu)量;
C爲(wei)流量(liang)系數(shu)(儀表(biao)系數(shu));
A爲穿(chuan)流截(jie)面積(ji)
g爲重(zhong)力加(jia)速度(du);
Vf爲浮(fu)子體(ti)積;
Af爲(wei)浮子(zi)最大(da)直徑(jing)的截(jie)面積(ji);
pf爲浮(fu)子密(mi)度;
p0爲(wei)介質(zhi)密度(du)。
4轉子(zi)流量(liang)計的(de)功能(neng)、适應(ying)性與(yu)選型(xing)
  由于(yu)轉子(zi)流量(liang)計應(ying)用了(le)重力(li)的原(yuan)理,在(zai)現場(chang)使用(yong)時無(wu)需❄️電(dian)🔴源供(gong)電,因(yin)此可(ke)在地(di)球的(de)每一(yi)角落(luo)使用(yong),它可(ke)以同(tong)各種(zhong)遙控(kong)㊙️器儀(yi)表配(pei)套,應(ying)用範(fan)圍廣(guang)泛。
(1)玻(bo)璃轉(zhuan)子流(liu)量計(ji)
  要求(qiu)介質(zhi)透明(ming)不粘(zhan)附表(biao)面。主(zhu)要特(te)點爲(wei)成本(ben)低,易(yi)于安(an)裝和(he)維👨‍❤️‍👨護(hu),純機(ji)械操(cao)作,不(bu)需要(yao)電源(yuan),直接(jie)監視(shi)流體(ti),可測(ce)量液(ye)體、氣(qi)體,但(dan)不可(ke)測量(liang)蒸汽(qi)。
(2)塑料(liao)轉子(zi)流量(liang)計
   塑(su)料管(guan)轉子(zi)流量(liang)計 要(yao)求介(jie)質透(tou)明不(bu)粘附(fu)表面(mian)。主要(yao)特點(dian)爲性(xing)價比(bi)高,易(yi)于安(an)裝♋和(he)維護(hu),全塑(su)料材(cai)質,可(ke)用于(yu)超純(chun)水的(de)測量(liang),還可(ke)附加(jia)報警(jing)接💃🏻點(dian)輸😍出(chu),隻适(shi)用于(yu)測量(liang)液體(ti)。
(3)金屬(shu)管轉(zhuan)子流(liu)量計(ji)
   金屬(shu)管轉(zhuan)子流(liu)量計(ji) 适用(yong)于透(tou)明和(he)不透(tou)明及(ji)于淨(jing)和比(bi)較幹(gan)淨的(de)介質(zhi),甚💚至(zhi)👌可🤞以(yi)選用(yong)測量(liang)泥漿(jiang)轉子(zi)流量(liang)計對(dui)不幹(gan)淨的(de)液體(ti)完成(cheng)測量(liang)控制(zhi),但介(jie)質不(bu)宜含(han)磁性(xing)的物(wu)質(必(bi)🔞要時(shi),另裝(zhuang)磁過(guo)濾器(qi))。它适(shi)合中(zhong)、小、微(wei)流量(liang)的測(ce)量與(yu)⁉️控制(zhi),可測(ce)🥰量液(ye)體、氣(qi)體和(he)蒸汽(qi)。根據(ju)工藝(yi)條件(jian)與要(yao)✊求,除(chu)具有(you)現場(chang)指示(shi)、接點(dian)🏃‍♂️輸出(chu)、氣壓(ya)變送(song)、電信(xin)号變(bian)送、現(xian)場積(ji)算等(deng)🌈功能(neng)外,還(hai)可再(zai)附加(jia)液體(ti)阻尼(ni)器、氣(qi)體阻(zu)尼器(qi)、散熱(re)器(片(pian))、蒸汽(qi)加熱(re)夾套(tao)(又分(fen)成半(ban)夾套(tao)和全(quan)夾套(tao))。
1)裝液(ye)體阻(zu)尼器(qi)
  如圖(tu)3所示(shi),在測(ce)量蒸(zheng)汽和(he)氣體(ti)流量(liang)時,安(an)裝阻(zu)尼器(qi)是爲(wei)了防(fang)👌止♉因(yin)蒸汽(qi)和氣(qi)體所(suo)引起(qi)浮子(zi)的振(zhen)動。阻(zu)尼器(qi)筒體(ti)位于(yu)🌈管部(bu)的低(di)端并(bing)充滿(man)阻尼(ni)液(加(jia)矽油(you)等)。阻(zu)尼液(ye)與阻(zu)尼器(qi)之間(jian)的磨(mo)🚩擦,可(ke)使浮(fu)子移(yi)動趨(qu)㊙️于平(ping)滑,使(shi)指示(shi)讀數(shu)穩定(ding),可延(yan)長活(huo)動部(bu)件的(de)使用(yong)壽命(ming)。
2)安裝(zhuang)氣體(ti)阻尼(ni)器
  如(ru)圖4所(suo)示,在(zai)測量(liang)氣體(ti)流量(liang)時,可(ke)采用(yong)不需(xu)使用(yong)阻♉尼(ni)液的(de)氣體(ti)阻尼(ni)器(隻(zhi)适用(yong)于金(jin)屬材(cai)料的(de)流量(liang)計)。這(zhe)種機(ji)械式(shi)的阻(zu)尼器(qi)是在(zai)原有(you)浮子(zi)導向(xiang)裝置(zhi)上🔞,增(zeng)加了(le)汽缸(gang)和活(huo)塞。省(sheng)去了(le)安裝(zhuang)流量(liang)計底(di)端的(de)液體(ti)阻尼(ni)器。它(ta)可以(yi)提高(gao)配管(guan)設計(ji)的靈(ling)活性(xing),又可(ke)免于(yu)填充(chong)阻尼(ni)液,減(jian)輕了(le)維護(hu)工作(zuo)量。氣(qi)體阻(zu)尼器(qi)隻适(shi)用于(yu)氣體(ti)🌈流量(liang)的測(ce)量,不(bu)适用(yong)于液(ye)體和(he)蒸汽(qi)。請注(zhu)意,氯(lü)氣(易(yi)于形(xing)成化(hua)合☎️物(wu))和含(han)鏽的(de)氣體(ti)、雜質(zhi)、油類(lei)等物(wu)質都(dou)會妨(fang)礙活(huo)塞零(ling)件的(de)功能(neng)。
轉子(zi)流量(liang)計液(ye)體阻(zu)尼器(qi)示意(yi)圖轉(zhuan)子流(liu)量計(ji)氣體(ti)阻尼(ni)器示(shi)意圖(tu)
3)安裝(zhuang)散熱(re)片
  如(ru)圖5所(suo)示,對(dui)檢測(ce)溫度(du)大于(yu)150℃的流(liu)體,需(xu)在測(ce)量管(guan)和📞指(zhi)示器(qi)🎯殼體(ti)之間(jian)安裝(zhuang)散熱(re)片進(jin)行散(san)熱。
4)安(an)裝蒸(zheng)汽加(jia)熱夾(jia)套
  如(ru)圖6所(suo)示,在(zai)測量(liang)高粘(zhan)度和(he)粘性(xing)流體(ti)時,通(tong)常要(yao)采用(yong)🐅加熱(re)🧡夾套(tao)🔴,加熱(re)夾套(tao)有半(ban)夾套(tao)和全(quan)夾套(tao)兩種(zhong),半夾(jia)套隻(zhi)覆蓋(gai)測量(liang)管部(bu),全夾(jia)套除(chu)覆蓋(gai)測量(liang)管部(bu)外還(hai)覆蓋(gai)了法(fa)蘭盤(pan)。
5儀表(biao)安裝(zhuang)、使用(yong)注意(yi)事項(xiang)
(l)除去(qu)浮子(zi)固定(ding)件
  爲(wei)防止(zhi)運送(song)過程(cheng)中振(zhen)動引(yin)起的(de)破損(sun),發貨(huo)時,在(zai)管體(ti)中插(cha)入了(le)塑料(liao)管對(dui)浮子(zi)進行(hang)固定(ding)。安裝(zhuang)儀表(biao)之💋前(qian),請先(xian)拆🐕除(chu)此件(jian)。
(2)垂直(zhi)安裝(zhuang)
  轉子(zi)流量(liang)計要(yao)求管(guan)體部(bu)分必(bi)須垂(chui)直放(fang)置。傾(qing)斜放(fang)☁️置會(hui)影響(xiang)精度(du)并導(dao)緻動(dong)作不(bu)良(容(rong)許誤(wu)差在(zai)2°以内(nei))。
轉子(zi)流量(liang)計散(san)熱片(pian)示意(yi)圖轉(zhuan)子流(liu)量計(ji)蒸汽(qi)加熱(re)夾套(tao)示意(yi)圖
(3)安(an)裝旁(pang)路和(he)閥門(men)
  爲便(bian)于維(wei)修、保(bao)養、鼓(gu)勵安(an)裝旁(pang)路配(pei)管和(he)閥門(men)。最好(hao)🐪在💰儀(yi)表流(liu)💃人端(duan)安裝(zhuang)截止(zhi)閥,在(zai)流出(chu)端安(an)裝調(diao)節閥(fa)。測量(liang)氣體(ti)時,如(ru)果開(kai)放儀(yi)☔表出(chu)口端(duan),會引(yin)起壓(ya)力下(xia)降導(dao)緻無(wu)法正(zheng)确測(ce)量。所(suo)以使(shi)用已(yi)進行(hang)過規(gui)格壓(ya)力校(xiao)正的(de)儀表(biao)時,請(qing)在出(chu)口端(duan)安裝(zhuang)調節(jie)閥。
(4)上(shang)下流(liu)直管(guan)段長(zhang)度
  不(bu)必特(te)地設(she)定直(zhi)管端(duan),但請(qing)盡量(liang)避免(mian)在上(shang)流附(fu)近處(chu)💔設♋置(zhi)容😍易(yi)引起(qi)紊流(liu)的閥(fa)門、彎(wan)頭等(deng)附件(jian)。因爲(wei)紊流(liu)會導(dao)緻可(ke)動部(bu)件組(zu)壽命(ming)縮短(duan)。
(5)清洗(xi)和除(chu)去雜(za)質
  流(liu)體中(zhong)如有(you)固體(ti)雜質(zhi)或纖(xian)維等(deng)混人(ren)時,會(hui)引起(qi)動作(zuo)不良(liang),需在(zai)☂️人口(kou)處安(an)裝過(guo)濾器(qi)等除(chu)去雜(za)質。特(te)别😍是(shi)含有(you)鐵粉(fen)等固(gu)體雜(za)質混(hun)人儀(yi)表中(zhong)時,因(yin)浮子(zi)中裝(zhuang)有磁(ci)鐵,雜(za)質會(hui)吸附(fu)在浮(fu)子表(biao)面而(er)導緻(zhi)動作(zuo)不良(liang)。
  轉子(zi)流量(liang)計正(zheng)常工(gong)作之(zhi)後,配(pei)管中(zhong)的雜(za)質會(hui)導緻(zhi)🐕動作(zuo)🏃不良(liang)。因此(ci),在配(pei)管中(zhong)安裝(zhuang)儀表(biao)之前(qian),先清(qing)洗整(zheng)個配(pei)管。當(dang)浮子(zi)被卡(ka)住時(shi),不要(yao)用金(jin)屬_L具(ju)敲打(da)流量(liang)計的(de)錐形(xing)管,可(ke)🈲以用(yong)橡膠(jiao)材質(zhi)錘子(zi)或木(mu)塊輕(qing)輕振(zhen)動錐(zhui)形管(guan)。

以上(shang)内容(rong)來源(yuan)于網(wang)絡,如(ru)有侵(qin)權請(qing)聯系(xi)即删(shan)除!

下(xia)篇文(wen)章: 提(ti)高電(dian)磁流(liu)量計(ji)測量(liang)準确(que)性的(de)工程(cheng)實施(shi) 上篇(pian)文章(zhang) 蒸汽(qi)流量(liang)計故(gu)障處(chu)理分(fen)析
 版(ban)權所(suo)有:江(jiang)蘇省(sheng)霸展包装机械有限公司       技術(shu)支持(chi)易品(pin)網絡(luo)

·