摘要:渦(wo)輪流量(liang)計
是一(yi)種利用(yong)渦輪感(gan)受流體(ti)平均流(liu)速來導(dao)出流量(liang)的流量(liang)計,常應(ying)用于昂(ang)貴介質(zhi)(油品、天(tian)然氣等(deng))的總量(liang)測量。就(jiu)♻️如何🛀實(shi)現🈚流量(liang)💔計的高(gao)效利用(yong),節約使(shi)用🚶♀️單位(wei)的🤟使用(yong)成本,實(shi)現🧡儀器(qi)儀⚽表利(li)用效益(yi)的最大(da)化問題(ti),介紹了(le)渦輪流(liu)量計的(de)選型依(yi)據🔱,并以(yi)實例🔞計(ji)算分析(xi)了渦輪(lun)流量計(ji)的選型(xing),爲今🌈後(hou)渦輪流(liu)量🍉:計的(de)合理選(xuan)型提供(gong)了一定(ding)的理論(lun)依據。
0引(yin)言
渦輪(lun)流量計(ji)是現今(jin)使用比(bi)較廣泛(fan)的流量(liang)計種類(lei)之。它具(ju)有測量(liang)精度高(gao)、安裝方(fang)便、使用(yong)性能的(de)穩定🌍性(xing)高等優(you)點,廣泛(fan)應用于(yu)石化、冶(ye)金、城市(shi)燃氣等(deng)行業,以(yi)及⭕燃氣(qi)調🍉壓站(zhan)等場所(suo)。渦輪流(liu)量👉計一(yi)般由流(liu)量變送(song)器、前置(zhi)放大器(qi)和顯示(shi)計算儀(yi)組成。它(ta)具體的(de)工作原(yuan)理是:當(dang)被測流(liu)體介質(zhi)通過管(guan)内的渦(wo)輪😘葉片(pian)時,渦輪(lun)🤟因爲感(gan)受到流(liu)體的沖(chong)擊而做(zuo)旋㊙️轉運(yun)動,在流(liu)量計量(liang)程的範(fan)圍内渦(wo)輪的轉(zhuan)速和流(liu)量成正(zheng)比。渦輪(lun)流量計(ji)的轉數(shu)是通過(guo)磁電轉(zhuan)換器轉(zhuan)換成電(dian)脈沖🌂信(xin)号,再被(bei)前置放(fang)大器放(fang)大,山顯(xian)示計算(suan)儀顯示(shi)流量的(de)大小。這(zhe)樣根據(ju)單位時(shi)間的脈(mo)沖數🧡和(he)累計的(de)脈沖數(shu)就可以(yi)反映出(chu)單位時(shi)間的瞬(shun)時流量(liang)🛀和累計(ji)流量。
通(tong)過流量(liang)計的流(liu)體體積(ji)示值是(shi)以渦輪(lun)葉輪轉(zhuan)數🚶♀️爲☂️基(ji)準的,即(ji)通過測(ce)量葉輪(lun)的轉速(su)來反映(ying)通過管(guan)道的❗體(ti)積流量(liang)大小。渦(wo)輪🌈流量(liang)計結構(gou)如圖1-所(suo)示。
整流器(qi)通常也(ye)叫導流(liu)器,主要(yao)作用是(shi)消除和(he)誠少流(liu)體流動(dong)中的漩(xuan)渦流、偏(pian)心流等(deng)各種不(bu)是中心(xin)軸對稱(cheng)的流體(ti)。
軸承用(yong)來固定(ding)轉子使(shi)其很好(hao)地安裝(zhuang)在管道(dao)的中心(xin)🌈線處。
葉(ye)輪是轉(zhuan)子式渦(wo)輪流量(liang)計的主(zhu)要組成(cheng)部分,一(yi)般主要(yao)由螺⛱️旋(xuan)💋形的葉(ye)片組成(cheng)。一般葉(ye)片的直(zhi)徑剛好(hao)🚶♀️充滿管(guan)道👉,葉片(pian)👨❤️👨的軸向(xiang)長度近(jin)似爲葉(ye)片的高(gao)度。
一般(ban)所說的(de)儀表管(guan)段是指(zhi)流量計(ji)的管段(duan)部分,裏(li)👄面包含(han)了🌍整流(liu)器、軸承(cheng)、轉子傳(chuan)感器等(deng)部分,有(you)時候也(ye)包括上(shang)遊和下(xia)遊的直(zhi)管部分(fen)。
傳感器(qi)的主要(yao)作用是(shi)把轉子(zi)轉動的(de)信号轉(zhuan)換爲電(dian)信号。通(tong)常将渦(wo)輪流量(liang)計中感(gan)知流體(ti)流速的(de)渦輪及(ji)其組合(he)(包括前(qian)後導流(liu)架、軸承(cheng)、殼體及(ji)前置放(fang)大器)統(tong)稱爲渦(wo)輪流量(liang)傳感器(qi)。
前置放(fang)大器是(shi)爲了傳(chuan)送傳感(gan)器的電(dian)信号而(er)對其放(fang)💘大,整🙇🏻型(xing)🌂從而得(de)到輸出(chu)型号,再(zai)将信号(hao)處理轉(zhuan)換🧑🏾🤝🧑🏼爲二(er)次儀☁️表(biao)顯示的(de)信号。
顯(xian)示器爲(wei)渦輪流(liu)量計接(jie)受輸出(chu)輸出信(xin)号的裝(zhuang)置。在🌐流(liu)量計運(yun)行的過(guo)程中,瞬(shun)時流量(liang)、累計流(liu)量、儀表(biao)系數都(dou)可👈以在(zai)顯示💃🏻器(qi)上🌏顯示(shi)出來。
每(mei)個規格(ge)的流量(liang)計,均有(you)其流量(liang)範圍。也(ye)即說,當(dang)介質流(liu)量低于(yu)下限流(liu)量時,介(jie)質流速(su)太低,以(yi)緻無法(fa)檢測流(liu)速,或無(wu)法保證(zheng)精度;而(er)當流量(liang)高于流(liu)量上限(xian)時,産⭕生(sheng)壓力損(sun)失過大(da),會産生(sheng)丢脈❓沖(chong)、漏計等(deng)現象,即(ji)使不漏(lou)計,流量(liang)計也無(wu)法保證(zheng)精度。
由(you)于流量(liang)計的使(shi)用環境(jing)條件一(yi)般較爲(wei)惡劣,有(you)振動、脈(mo)動等㊙️幹(gan)擾存在(zai),因此,若(ruo)流量計(ji)經常處(chu)于下限(xian)流量工(gong)作時,就(jiu)🏃🏻♂️很難🌐保(bao)證計量(liang)精度叫(jiao)。一般應(ying)使流量(liang)計的工(gong)作流量(liang)範圍處(chu)于最大(da)工況流(liu)量的20%-90%。當(dang)使用環(huan)境很理(li)想時,流(liu)量計可(ke)工作于(yu)最小流(liu)量和最(zui)大海量(liang)之間,但(dan)這僅考(kao)慮到流(liu)量計的(de)㊙️流量範(fan)圍。若在(zai)低壓介(jie)質使用(yong),還應考(kao)慮壓力(li)損失的(de)影響。壓(ya)力損失(shi)大是🌈流(liu)量計選(xuan)型必須(xu)考慮的(de)--個重要(yao)因素,在(zai)有壓力(li)損失要(yao)求時,應(ying)考慮此(ci)因素。
1渦(wo)輪流量(liang)計的選(xuan)型數學(xue)依據
用(yong)戶在實(shi)際的流(liu)量計選(xuan)擇應用(yong)中,要盡(jin)量選擇(ze)合适❗的(de)流量🌍計(ji),既要避(bi)免資源(yuan)浪費造(zao)成的過(guo)度花費(fei),又要避(bi)免選擇(ze)♊不合适(shi)的流量(liang)計影響(xiang)測量的(de)精度,造(zao)成用☁️戶(hu)雙方的(de)貿易💃🏻糾(jiu)紛。用戶(hu)在選🚩擇(ze)流量計(ji)之前應(ying)首先🐇估(gu)計管線(xian)輸送介(jie)質的量(liang)和介質(zhi)可能達(da)到的溫(wen)度和壓(ya)力範圍(wei),估算出(chu)輸送介(jie)質的最(zui)高和⛹🏻♀️最(zui)低的工(gong)況❤️流量(liang),正确選(xuan)擇規格(ge)合适的(de)流量💘計(ji)。選🈚擇渦(wo)輪流量(liang)計的總(zong)體原則(ze)是:盡量(liang)使流量(liang)計在最(zui)大流量(liang)的20%-90%的範(fan)圍内運(yun)行,這樣(yang)流量計(ji)的最佳(jia)計量性(xing)能及測(ce)量精度(du)也是最(zui)高的。渦(wo)輪流量(liang)計選型(xing)流程如(ru)圖二所(suo)示。
2選型的(de)數學計(ji)算依據(ju)
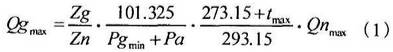
已知介(jie)質的最(zui)低壓力(li)、最高溫(wen)度和所(suo)需的最(zui)大标準(zhun)狀🐪況下(xia)的流量(liang),計算最(zui)大工況(kuang)下的流(liu)量:
已知(zhi)介質的(de)最高壓(ya)力、最低(di)溫度和(he)所需要(yao)最小标(biao)🔴準狀💯況(kuang)下的流(liu)量,計算(suan)最小工(gong)況流量(liang):
式(1)、(2)中,Qgmx、Qgnn爲(wei)最大和(he)最小的(de)工況體(ti)積流量(liang)(m/h),
爲流量(liang)計在工(gong)作狀态(tai)下的壓(ya)縮Zn系數(shu)與标準(zhun)狀态下(xia)的壓縮(suo)系數之(zhi)比,Pgmx、Pgxi爲介(jie)質的最(zui)高和最(zui)低的壓(ya)力值(kPa),Pa爲(wei)❌當地😄的(de)大氣壓(ya)😄力值(kPa),tmx、thin爲(wei)介質的(de)最高溫(wen)和最低(di)溫,Qnmx.Qnan爲最(zui)大和最(zui)小标準(zhun)狀況體(ti)積流量(liang)(kPa)。Zn
如果測(ce)量的介(jie)質是天(tian)然氣
的(de)比值,可(ke)以參考(kao)表--數值(zhi)。其中,天(tian)然氣的(de)密度K=0.63Kg/m',二(er)氧化碳(tan)的摩爾(er)分數Xc=0.00%,氮(dan)氣的摩(mo)爾分數(shu)Xn=0.00%。
3選型的(de)實例分(fen)析
已知(zhi)一用戶(hu)在輸氣(qi)時實際(ji)的工作(zuo)壓力範(fan)圍是0.5-1.5MPa,介(jie)🏃質的溫(wen)度爲10--50度(du),供氣時(shi)最小.的(de)流量爲(wei)2500m3/h;經過分(fen)析知道(dao),天然氣(qi)的實際(ji)密🤞度爲(wei)ρ=0.55Kg/m3,供氣最(zui)大流量(liang)爲6000m3/h,氮氣(qi)的摩爾(er)分🙇🏻數爲(wei)Mn=1.5%,二氧化(hua)碳的摩(mo)爾♍分數(shu)爲♻️Mc=0.6%;經測(ce)得知道(dao),當地的(de)大氣壓(ya)值爲101.3kPa,試(shi)确定所(suo)🏃🏻♂️選用流(liu)量計的(de)口徑和(he)流量範(fan)圍。
由剛(gang)才的流(liu)量計流(liu)量範圍(wei)計算模(mo)型公式(shi)知道,當(dang)介質壓(ya)力爲0.5MPa、溫(wen)度爲50度(du)時天然(ran)氣壓縮(suo)因子影(ying)響最小(xiao),此時供(gong)氣量最(zui)小,具有(you)最大的(de)工況體(ti)積流量(liang);而當介(jie)質壓力(li)爲1.5MPa、溫度(du)爲15度時(shi),壓縮因(yin)子影響(xiang)最大,此(ci)時的供(gong)氣量最(zui)大,具❌有(you)最.小工(gong)況體積(ji)流量。
在(zai)工作狀(zhuang)态下它(ta)的流量(liang)範圍爲(wei)147.6--1107.78m3/h,所以選(xuan)擇流量(liang)範🚶圍爲(wei)100--1500m3/h的渦輪(lun)流量計(ji)。
4結束語(yu)
渦輪流(liu)量計選(xuan)型模型(xing)和計算(suan)實例爲(wei)今後渦(wo)輪流量(liang)計在實(shi)際㊙️中的(de)應用和(he)選型提(ti)供了一(yi)定的理(li)論借鑒(jian)🏃♀️依據。
以(yi)上内容(rong)源于網(wang)絡,如有(you)侵權聯(lian)系即删(shan)除!