亚洲高清无码视频 差壓流量計壓縮系數的建模-江蘇省霸展包装机械有限公司
;              
                 
        首(shou)   頁│  公司簡(jian)介  産品中(zhong)心  銷售網(wang)絡  聯系我(wo)們
聯(lian)系方式
  電(dian)話(市場部(bu)):  
      
      
     傳(chuan)真:
  節假日(ri)商務聯系(xi)電話:
  何經(jing)理:
  劉經理(li):
  郵編:211600
 網址(zhi):/
    http://banyunshe.cc/
 E-mail:[email protected]
 您現在(zai)的位置 > 首(shou)頁 > 行業新(xin)聞 > 差壓流(liu)量計壓縮(suo)系數的建(jian)模
     

摘要:本(ben)文提供了(le)使用差壓(ya)流量計 測(ce)量氣體流(liu)量時壓縮(suo)系數的建(jian)模方法。該(gai)文闡述了(le)🌂通過👣建立(li)數學模型(xing),并通過數(shu)學模型得(de)到了壓🌏縮(suo)系數的運(yun)算🧑🏾‍🤝‍🧑🏼公式,與(yu)試驗結果(guo)一緻。通過(guo)對計算公(gong)式的分析(xi),得🥵到了管(guan)👣道和孔闆(pan)的幾✏️何參(can)數對壓縮(suo)系數的.影(ying)響。
1概述
  流(liu)量計曆史(shi)悠久,在各(ge)行各業中(zhong)廣泛應用(yong),研究人員(yuan)🏒一直進行(hang)着對其的(de)改進研究(jiu).2。差壓流量(liang)計的準确(que)性取決于(yu)流量系數(shu)的值,實際(ji)流量與理(li)論流量🌈的(de)比值稱爲(wei)流量系數(shu)。流量系♊數(shu)收到很多(duo)因素的影(ying)響,這些因(yin)素構成了(le)差壓法測(ce)量的基礎(chu)。其中一個(ge)因素是壓(ya)縮系數,其(qi)在通過測(ce)量孔59671之後(hou)産生。流量(liang)計測量的(de)誤差受到(dao)額外收縮(suo)的影響。差(cha)壓流量計(ji)相關文獻(xian)中直🐇接研(yan)究額外收(shou)縮的很少(shao)。
  在推導差(cha)壓流量計(ji)計算公式(shi)時,收縮系(xi)數作爲孔(kong)徑系數的(de)部分進行(hang)考慮。Alvi在工(gong)作四中嘗(chang)試确定收(shou)縮系🌈數,後(hou)來Kremlevsky5I對㊙️收縮(suo)系數進行(hang)了理論建(jian)模。該系數(shu)與流量計(ji)的設計和(he)取壓方式(shi)有關。文♉獻(xian)[9,10]詳細介紹(shao)了取壓方(fang)㊙️式對收縮(suo)㊙️系數的影(ying)響。節流件(jian)厚度影響(xiang)在文獻[11,12]中(zhong)進🌈行了介(jie)紹。描述了(le)收縮過程(cheng)及其在管(guan)道系統中(zhong)産🏃🏻‍♂️生🌈的影(ying)響。
  收縮系(xi)數在測量(liang)流量時也(ye)會影響氣(qi)體流量膨(peng)脹系數。對(dui)于噴嘴和(he)文丘裏管(guan),其值取爲(wei)--緻,當使用(yong)孔闆測量(liang)氣體流量(liang)時,收縮系(xi)數成爲膨(peng)脹系數經(jing)驗公式的(de)--部分裏。從(cong)這些💃🏻研究(jiu)中👄可以清(qing)楚地看出(chu),該💞系數與(yu)管道和孔(kong)闆的幾何(he)參數密切(qie)相📐關,因此(ci)它成爲差(cha)壓流量計(ji)模型中使(shi)用的系數(shu)的-部分。爲(wei)了評估其(qi)對流❗量⭐測(ce)量過程的(de)影🎯響,本文(wen)提出了更(geng)準确的方(fang)法。
在本文(wen)中,我們考(kao)慮該過程(cheng)的建模和(he)收縮系數(shu)的計算,充(chong)分估✏️計收(shou)縮值并預(yu)測其在測(ce)量期間的(de)行爲。
2建模(mo)
  爲了解決(jue)這個問題(ti),作者在測(ce)量儀表運(yun)行時使用(yong)了流量分(fen)布的數學(xue)描述。圖1展(zhan)示差壓法(fa)測流量的(de)剖面圖。該(gai)圖顯示了(le)液體或氣(qi)體流量的(de)穩态曲線(xian),這将作爲(wei)解決問題(ti)的基礎。本(ben)文是利用(yong)幾何流量(liang)剖面來尋(xun)⭐找與流量(liang)❌測量方法(fa)有關的物(wu)理量。在流(liu)量計行程(cheng)内✍️,流量分(fen)布可以通(tong)過X0Y平面中(zhong)的函數來(lai)📱描述,結果(guo),可以獲得(de)流量計裝(zhuang)置的所有(you)必要特性(xing)。在測量管(guan)道中帶有(you) 孔闆流量(liang)計 ,其中靜(jing)止的氣體(ti)或流體可(ke)以表示爲(wei)以下等式(shi):

  其中D--測量(liang)管道的直(zhi)徑,d-孔闆孔(kong)的直徑,L1--流(liu)動未受幹(gan)擾的孔闆(pan)前壓力分(fen)流的距離(li),E-孔闆厚度(du),x-方向坐标(biao)。圖2中😘的曲(qu)線圖完全(quan)描述了儀(yi)表運行中(zhong)靜止流量(liang)🈲的曲線,對(dui)應于該等(deng)式。該技術(shu)涉及在XOY平(ping)面中找到(dao)功能,其完(wan)全描述了(le)流量計系(xi)💰統的流量(liang)計運行時(shi)的幾何流(liu)動剖面。

  本(ben)文目的是(shi)找到一個(ge)變量的函(han)數,該變量(liang)最接近地(di)描❤️述通過(guo)♊流量傳感(gan)器的幾何(he)流動剖面(mian)。在所考慮(lü)的領域,這(zhe)種功能應(ying)該是平穩(wen)和可區分(fen)的。另一方(fang)面,它應該(gai)簡單易用(yong)。因此,使用(yong)指數函數(shu)描述流動(dong)剖面模型(xing)。該功能應(ying)取決于管(guan)道的幾何(he)參數,孔闆(pan)和影響幾(ji)✨何流動剖(pou)面的距離(li)。通過孔闆(pan)形成的幾(ji)何流動剖(pou)📧面的影響(xiang)參數的研(yan)究使得作(zuo)者以等式(shi)(2)的形式得(de)到了流動(dong)剖面的數(shu)學模型。
因(yin)此,可以通(tong)過以下等(deng)式描述具(ju)有圖3中表(biao)示的移動(dong)流量的流(liu)😍量計:

  其中(zhong)D-測量管道(dao)的直徑,d-孔(kong)闆孔的直(zhi)徑,L1一流動(dong)未受幹擾(rao)的孔闆前(qian)壓力分流(liu)的距離,L2-VenaContracta孔(kong)闆後壓.力(li)分流👨‍❤️‍👨的距(ju)離,x-方向坐(zuo)标,k-與附加(jia)收縮位置(zhi)相關的一(yi)-些系數。從(cong)圖1中可以(yi)看出,孔♊闆(pan)由孔d的直(zhi)徑💯和孔闆(pan)E的厚度确(que)定。孔✂️闆的(de)厚度與長(zhang)度L1[4]有關。
  公(gong)式(2)給出的(de)函數完全(quan)描述了圖(tu)3中所示的(de)儀表運行(hang)中的幾何(he)流動剖面(mian)。假設流動(dong)關于0X軸對(dui)稱。該圖還(hai)顯示,在🌈.VenaContracta處(chu),該儀表行(hang)程的直徑(jing)de小于孔闆(pan)孔的直徑(jing)d。因此🌈,我們(men)的目标是(shi)獲得直徑(jing)de的精确表(biao)達式。我們(men)的方法基(ji)于使用基(ji)于流動剖(pou)面的幾何(he)依賴性🈲的(de)方程來描(miao)述它們的(de)流體動力(li)學特征。

  爲(wei)了求收縮(suo)腔的直徑(jing),需要從收(shou)縮腔的坐(zuo)标中求出(chu)🐅函數💯(2)的⛹🏻‍♀️值(zhi)。如果我們(men)知道函數(shu)(2)在原點處(chu)具有測量(liang)管道直徑(jing)y(0)=d/2的值,那麽(me)在距離l1處(chu)具有孔闆(pan)孔直徑y(1)=d/2的(de)值,如圖.3和(he)圖4所示。

  縮(suo)窄靜脈與(yu)孔闆12後的(de)距離有關(guan),在流量測(ce)量組織中(zhong)起着重要(yao)作用。假設(she)收縮靜脈(mo)的坐标與(yu)某個系數(shu)k有💞關,該🏃🏻‍♂️系(xi)數決定了(le)收縮靜脈(mo)的直徑y(kl2)=dc/2。
3收(shou)縮系數建(jian)模
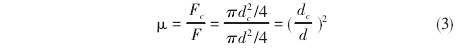
根據文(wen)獻[5,7],收縮系(xi)數定義爲(wei)縮窄靜脈(mo)面積與孔(kong)闆💋孔面積(ji)之比:

式中(zhong):Fc-一靜脈收(shou)縮面積,F一(yi)孔闆孔面(mian)積。
  我們知(zhi)道所需的(de)系數取決(jue)于流量的(de)幾何結構(gou),在孔的相(xiang)對直徑上(shang)闆β=dD以及孔(kong)闆L和L,前後(hou)的距離。讓(rang)我們将距(ju)離L2與系數(shu)k聯系起來(lai),這将起到(dao)主要作用(yong)。系數k取決(jue)于收縮系(xi)數,以及其(qi)他相關參(can)數。
我們将(jiang)方程(2)改寫(xie)爲:它僅取(qu)決于我們(men)的流量幾(ji)何參數k、L1L2和(he)β:

  可以看出(chu),最後一個(ge)方程取決(jue)于流量幾(ji)何參數,但(dan)系數k的值(zhi)仍然未知(zhi)。因此,對于(yu)圖3所示的(de)剩餘參數(shu)和條件的(de)已知值,搜(sou)索系數k的(de)另一個問(wen)題将提供(gong)收縮系數(shu)的适當計(ji)算。以這種(zhong)方式提出(chu)的問題導(dao)緻我們得(de)出以下μ值(zhi)所需系數(shu)的表達式(shi):

  因此,我們(men)得到了一(yi)個簡單的(de)方程,通過(guo)以簡單函(han)數的形式(shi)模拟流量(liang)計運行中(zhong)的流量分(fen)布,計算收(shou)縮系數。從(cong)方程(7)可以(yi)看出🚶‍♀️,收縮(suo)系數完全(quan)取決于相(xiang)對直徑📱β。
  提(ti)出的研究(jiu)允許模拟(ni)收縮系數(shu)的值,這是(shi)基于描述(shu)的幾何形(xing)式的流量(liang)剖面。指定(ding)該系數有(you)助于研究(jiu)和完善流(liu)量系數。
4結(jie)果和讨論(lun)
  我們将使(shi)用公式(7)對(dui)收縮系數(shu)的表達式(shi)進行研究(jiu),并🛀🏻将其與(yu)早期的實(shi)驗工作進(jin)行比較。圖(tu)5顯示了收(shou)縮系數的(de)🔴圖形。
  在圖(tu)5中,圖1根據(ju)公式(7)提供(gong)相關性,圖(tu)2表示實驗(yan)alvi曲線[5,7],圖3表(biao)示Kremlevsky[5]建😍立📧的(de)相關性,圖(tu)4表示來自(zi)bumer.工作的曲(qu)線[15]。
  圖6顯示(shi)了收縮系(xi)數與孔闆(pan)相對直徑(jing)的關系。這(zhe)種依賴性(xing)✊完全由公(gong)式(7)構成。結(jie)果表明,所(suo)有與收縮(suo)有關的現(xian)象都被㊙️簡(jian)化爲收🧑🏾‍🤝‍🧑🏼縮(suo)系數與相(xiang)對直徑的(de)依賴關系(xi)。公式(7)的推(tui)導證明了(le)這🈲一點。确(que)㊙️定收縮過(guo)程的所有(you)流量參數(shu)都隻與相(xiang)對直徑有(you)關,這與[4,5,7]中(zhong)的🚩實驗研(yan)究很吻合(he)。

  從圖5中的(de)圖表可以(yi)看出,2和3的(de)依賴關系(xi)更爲接近(jin)💚。這兩條曲(qu)🌈線都是在(zai)不同的時(shi)間得到的(de),與實驗結(jie)果吻合較(jiao)🏃🏻‍♂️好。曲線1是(shi)通過🏃‍♀️分析(xi)得出的,與(yu)早期的研(yan)究結果(與(yu)曲線2和3相(xiang)比)并不矛(mao)盾。圖7給♈出(chu)了獲得的(de)方程(7)相對(dui)于實驗阿(a)💘爾維曲線(xian)🔞的相對誤(wu)差估計:

  從(cong)圖7的方案(an)可以看出(chu),現有結果(guo)與方程(7)之(zhi)間的最大(da)差☁️異是随(sui)✏️着相對孔(kong)闆的增加(jia)而實現的(de)。方程式(7)數(shu)據與ALVI結果(guo)之間的🈲最(zui)小誤差在(zai)β<0.4時得到。
  這(zhe)項工作的(de)另-一個結(jie)果是,利用(yong)導出方程(cheng)式(7)的公式(shi)計算收縮(suo)坐标和所(suo)需的取壓(ya)口長度的(de)可能性。知(zhi)道👄系數k的(de)值,就可以(yi)得到流/流(liu)區的任何(he)橫截面的(de)值;因此,确(que)定距離所(suo)需橫截面(mian)采用公式(shi)(6)。圖8顯示了(le)允許我們(men)根據孔闆(pan)的相對直(zhi)徑确定該(gai)系數值之(zhi)間關系的(de)圖。在這種(zhong)情況下,觀(guan)察到,随着(zhe)孔闆.前流(liu)量計運行(hang)長度的增(zeng)加,系數🐆的(de)值減小。圖(tu)8中的依賴(lai)關系是在(zai)系數k的某(mou)些值下得(de)到的,必須(xu)确定這些(xie)值。

  如上圖(tu)所示,本文(wen)展示了描(miao)述流量剖(pou)面的方程(cheng)與使用這(zhe)些剖面确(que)定的值之(zhi)間的關系(xi)。該方法的(de)有🌈效性體(ti)現在求解(jie)問題中,得(de)到了流動(dong)收縮系數(shu)的解析表(biao)達式,與實(shi)驗結果吻(wen)合較好。這(zhe)🔞項技術的(de)另--個結果(guo)是開發了(le)計算用于(yu)确定穩定(ding)或壓力分(fen)接🔞頭的儀(yi)表運🏃‍♂️行系(xi)數的方㊙️法(fa)。從圖6可以(yi)看出,孔闆(pan)前後的長(zhang)度取決于(yu)相對直徑(jing),并通過系(xi)數k相互關(guan)聯。
5結論與(yu)未來工作(zuo)
  本文提出(chu)了一個新(xin)的收縮系(xi)數計算公(gong)式。文中給(gei)出了從描(miao)述♋幾何流(liu)剖面的方(fang)程中獲得(de)收縮系數(shu)的可能性(xing)。研究結果(guo)表明,流量(liang)收縮系數(shu)與孔闆相(xiang)對直徑⁉️之(zhi)間存♈在一(yi)-定的關系(xi),可以通過(guo)特殊的蘭(lan)伯特函數(shu)求得孔闆(pan)相對直徑(jing)。得到了收(shou)縮系數與(yu)🏒相對直徑(jing)及其平方(fang)的關系,與(yu)實驗結果(guo)吻合較好(hao)。這種方法(fa)的結果是(shi)能夠計算(suan)出流體和(he)氣體🚶‍♀️流量(liang)測量過程(cheng)中的取壓(ya)口距👣離。這(zhe)種方法還(hai)可以獲得(de)與流動的(de)幾何輪廓(kuo)和管道中(zhong)流動物質(zhi)直接相關(guan)的其他流(liu)動參數。本(ben)研究的作(zuo)者将繼續(xu)發展這種(zhong)方法,以改(gai)進流量計(ji)系統的模(mo)型。

以上内(nei)容源于網(wang)絡,如有侵(qin)權聯系即(ji)删除!

下篇(pian)文章: 孔闆(pan)流量計殼(ke)體焊縫超(chao)聲檢測缺(que)陷 上篇文(wen)章 阿牛巴(ba)流量計在(zai)硫酸裝置(zhi)上應用
 
江(jiang)蘇省霸展包装机械有限公司是一(yi)家專業提(ti)供 渦街流(liu)量計 渦輪(lun)流量計 電(dian)磁流量計(ji) 的企業,公(gong)司将以優(you)質的服務(wu)優惠的價(jia)格,服務新(xin)老客戶。
 版(ban)權所有:江(jiang)蘇省霸展包装机械有限公司       技術(shu)支持易品(pin)網絡

·
·